Beethoven’s Ninth Symphony: A Heart-Based Insight
Beethoven’s Ninth Symphony and Non-Auditory Creative Cognition: A Neurocardiac Biophysical Framework Resolving a 200-Year-Old Scientific Enigma Based on the Alabdulgader Heart-Based Resonant Field Theory
Abdullah Alabdulgader1
- Senior Scientist, Congenital Cardiologist, interventional electrophysiologist and cardiac rhythm devices implanter, Philosopher, World Gold Medal Awardee (Wosco -2012) Scientific Advisory Board Member (Heart Math Institute (USA) Orcid: https://orcid.org/0000-0002-5425-460X
OPEN ACCESS
PUBLISHED: 28 February 2026
CITATION: Alabdulgader, A., 2026. Beethoven’s Ninth Symphony and Non-Auditory Creative Cognition: A Neurocardiac Biophysical Framework Resolving a 200-Year-Old Scientific Enigma Based on the Alabdulgader Heart-Based Resonant Field Theory. Medical Research Archives, [online] 14(2).
COPYRIGHT:© 2026 European Society of Medicine. This is an open-access article distributed under the terms of the Creative Commons Attribution License, which permits unrestricted use, distribution, and reproduction in any medium, provided the original author and source are credited.
DOI: https://doi.org/10.18103/mra.v14i3.7289
ISSN 2375-1924
ABSTRACT
This manuscript introduces the Alabdulgader Heart-Based Resonant Field Theory of Consciousness, a paradigm shifting framework proposing that human consciousness emerges from bioelectromagnetic interactions centered on the heart’s resonant field, rather than the cerebral cortex alone. Building upon biophysical, neurocardiological, and quantum informed principles, the HBRF Theory posits that the heart acts as a central oscillator capable of interfacing with both neural and nonlocal informational substrates via magnetoacoustic and vibrational transduction. A central empirical challenge for brain exclusive models of consciousness, namely, Ludwig van Beethoven’s composition of his Ninth Symphony despite total deafness, is addressed within this theory. We propose a mechanistic pathway through which the vibration of musical instruments, somatosensory texture feedback, and the coherent cardiac field enabled integrative, embodied access to musical structure and memory. The model incorporates concepts from magneto-mechanical coupling, fascia based vibratory conduction, and harmonic field resonance to explain how consciousness and high order creativity were preserved in Beethoven’s state. Section 5.1 presents a novel empirical pathway diagram aligning cardiac resonance metrics, consciousness correlates, and creativity markers. Limitations of current experimental tools for verifying subquantum cardiac consciousness fields are acknowledged, alongside recommendations for cross modal research using magnetoencephalography, heart rate variability field mapping, and stem cell cardiomyocyte interferometry. By integrating data from cardiology, quantum biology, neuroscience, and musicology, this paper lays the foundation for a new theoretical and experimental paradigm in understanding consciousness and creativity. The implications extend to biofield diagnostics, neurocardiac therapeutic interventions, and the epistemology of artistic intuition.
Keywords: Consciousness; Heart Field; Beethoven; Creativity; Biophysics; Resonance; Neurocardiology
1. Introduction
Despite centuries of inquiry, the biological and ontological basis of human consciousness remains an unresolved enigma at the intersection of neuroscience, physics, and philosophy. Conventional models, anchored in neural computation and cortical localization, continue to fall short in accounting for the full spectrum of conscious phenomena, particularly those involving creativity, intuition, and extraordinary cognitive feats. One of the most striking examples of this epistemological shortfall is found in the case of Ludwig van Beethoven, who composed his Ninth Symphony, a work of unmatched structural sophistication and emotional grandeur, while in a state of profound bilateral sensorineural deafness. This historical paradox exposes the inherent limitations of brain-centric theories of consciousness and demands a new explanatory framework that can encompass non-sensory, non-local, and emotionally integrated mechanisms of awareness and creative cognition. The Alabdulgader Heart-Based Resonant Field (HBRF) Theory of Consciousness offers a revolutionary approach to addressing this gap. Drawing upon advancements in neurocardiology, quantum biophysics, magnetobiology, and heart-brain electrophysiology, HBRF theory reconceptualizes the heart as a resonant, field-generating cognitive organ, one that serves not only as a physiological regulator but as the epicenter of consciousness itself. Unlike reductionist theories that confine awareness to cortical microstructures or algorithmic information processing, the HBRF theory proposes that consciousness emerges from a coherent bioelectromagnetic field generated by the heart, which interacts with cosmic, geomagnetic, and nonlocal informational systems. This model is empirically grounded through decades of research on heart rate variability (HRV), heartbeat-evoked potentials (HEPs), and global coherence monitoring systems, establishing the heart as both a biological oscillator and a transducer of universal information. In applying this theory to the Beethoven case, the present manuscript offers a unified scientific explanation for deaf compositional genius rooted in heart field resonance, nonlocal intuition, and affective cognitive synchronization. We argue that Beethoven’s internal access to musical architecture, despite the absence of auditory input, may be best explained by his heart’s coherent coupling with a universal resonant field, a transpersonal source of information that bypasses traditional sensory pathways and engages deeply with emotional and moral intentionality. This interpretation is supported by data from our longest known record of human HRV frequencies synchronized to cosmic fields upon which HBRF theory is based, cardiac neuroscience, magnetocardiography, and interoceptive neurophysiology, which increasingly point toward the heart’s central role in shaping human awareness and creative output. By revisiting Beethoven’s Ninth Symphony through the lens of Alabdulgader HBRF Theory, this work proposes a fundamental shift in the scientific understanding of consciousness, one that challenges the primacy of the brain, restores the heart to its rightful epistemological centrality, and opens new interdisciplinary pathways for research in neuroscience, cardiology, quantum biology, and the philosophy of mind. In doing so, we not only resolve a 200-year-old scientific mystery, but also lay the groundwork for a biologically plausible, spiritually coherent, and experimentally verifiable theory of consciousness fit for the complexity of human experience.
2. The Beethoven Paradox: A Neuroscientific Impasse in Explaining the Deaf Genesis of the Ninth Symphony
Despite extensive advances in the neuroscientific and cognitive sciences, there remains a profound epistemological gap in our mechanistic understanding of the compositional genesis of Ludwig van Beethoven’s Symphony No. 9, particularly in light of his documented profound bilateral sensorineural hearing loss during its composition. Beethoven’s Ninth Symphony is a profoundly complex work, rooted in his enduring political vision of freedom and democratic ideals for Europe. The composition symbolizes a broader societal and ideological struggle, moving from darkness to light, a transformation musically expressed through the tension between a somber minor key and a triumphant, hopeful major key. From a musical standpoint, the Ninth Symphony was revolutionary in several respects: it introduced an unprecedented level of orchestral complexity and scale, it was the longest symphony ever composed at the time, and, most notably, it broke with classical convention by incorporating vocal soloists and a full chorus in its final movement, the iconic “Ode to Joy (figure 1). Current models of auditory motor integration, working memory, and musical imagery fail to provide an empirically grounded or mechanistically plausible account of how an individual devoid of functional auditory input could internally simulate, refine, and orchestrate such a complex polyphonic architecture. This scientific gap underscored by leading neuroscientists such as Zeki (2001), who acknowledges that current brain science offers no comprehensive account of such creative transcendence. While it is broadly acknowledged that Beethoven retained a deep internal auditory representation of musical structures, presumably constructed prior to the full onset of deafness, neuroscience lacks a verifiable explanatory framework capable of delineating how these internal models were accessed, manipulated, and transformed into the highly intricate score of the Ninth Symphony. The absence of auditory feedback precludes the standard sensory motor loops implicated in musical composition, such as error correction through auditory monitoring, dynamic tonal calibration, and real time affective modulation based on acoustic feedback. Moreover, while neuroplastic compensatory mechanisms, such as increased reliance on somatosensory and visual modalities, have been proposed, there is no empirical evidence demonstrating that such compensatory adaptation is sufficient for the orchestration of a symphonic masterpiece on the scale of Beethoven’s Ninth. Until today, functional neuroimaging studies of congenitally or acquired deaf individuals provide only limited insight, often constrained to basic auditory imagery or rhythm processing, not the generation of extended, multi-instrumental, thematically unified musical architecture. The production of Beethoven’s Ninth Symphony under conditions of profound deafness constitutes a singular anomaly that eludes reductionist explanation. It underscores the limitations of current neuroscientific paradigms to account for transcendent creative phenomena that emerge in apparent defiance of the known constraints of sensory deprivation and cortical function. This case remains an unresolved enigma at the intersection of neurology, music cognition, and the philosophy of mind.

3. Toward a New Paradigm: The Scientific Imperative for the Alabdulgader Heart Based Resonant Field Theory of Consciousness and the new perspective
The current crisis in consciousness science stems from a persistent and fundamental failure to bridge the explanatory gap between subjective experience and neural dynamics. Conventional neurobiological models, grounded in synaptic transmission and neuronal firing, have remained inadequate in articulating the ontological basis or mechanistic substrate of consciousness. Even the most advanced paradigms, such as Global Neuronal Workspace Theory or Integrated Information Theory, continue to oscillate within reductionist assumptions and lack the dimensionality to explain consciousness as a universal, participatory phenomenon. This shortcoming is rendered all the more salient by empirical anomalies that defy current theoretical models such as Beethoven’s capacity to compose symphonic masterpieces like the Ninth Symphony in a state of profound auditory deprivation. This cognitive feat, unexplainable within the parameters of neural network based models, underscores the necessity of a theory capable of transcending cortical localism and embracing a multidimensional framework. The current frameworks locate consciousness strictly within patterns of neural activity, through the broadcasting of information across cortical networks, and through mathematically quantifiable information integration. However, as Seth and Bayne note, even these models fall short of accounting for the ontological depth and participatory nature of conscious experience, particularly its felt immediacy and universality. By contrast, the Heart Based Resonant Field (HBRF) Theory offers a novel departure from these limitations, positing consciousness as an emergent phenomenon of cardiac field coherence embedded within a broader resonant structure that extends beyond the brain and body. This theory integrates electromagnetic, emotional, and planetary harmonics into a unified field model, suggesting that consciousness is not merely localized computation, but a dynamic interplay between biological systems and a universal, organizing field, potentially aligning with ancient intuitions of a heart centered intelligence. In this view, the HBRF Theory transcends the explanatory boundaries of consciousness current theories, by restoring dimensionality, coherence, and universality to the study of consciousness. A principal failure of existing consciousness theories lies in their lack of a truly holistic and universal perspective. These models rarely integrate the intricate synchrony observed between biological systems and environmental oscillations, thereby ignoring key empirical phenomena such as heart rate variability (HRV) resonance with Schumann frequencies or solar magnetic cycles. HBRF theory addresses this omission by demonstrating that coherent heart rhythms, measurable via HRV, can act as biologically and astrophysically entangled indicators of consciousness. The Alabdulgader Heart-Based Resonant Field (HBRF) Theory of Consciousness provides such a framework, offering a radical reorientation of the seat and nature of conscious awareness. Drawing on decades of synchronized physiological, astrophysical, and geophysical data, this theory postulates the human heart, not the brain, as the central oscillator within a nested, resonant energetic matrix that couples biological systems with planetary and cosmic electromagnetic fields. Wilder Penfield’s neurosurgical investigations, once regarded as foundational, have themselves evolved into a critique of the cortical determinism they initially supported. Penfield’s later writings clearly articulate the failure of electrical stimulation to account for the unity and continuity of conscious experience, thus necessitating exploration beyond cortical architecture (as will be discussed in next section). HBRF theory takes this further by demonstrating that heart generated electromagnetic fields through their coherence, frequency structure, and informational capacity offer a biologically viable substrate for consciousness. Moreover, existing theories are devoid of indicators that can be both universal in scope and analytically tractable. The electromagnetic signatures of the heart, particularly when analyzed through Fourier transformation and other spectral methods, yield highly structured frequency patterns that correlate with states of emotional and cognitive coherence. These patterns are not only measurable and recordable in real time but are also dynamic and responsive to planetary scale geophysical fluctuations. The experimental basis of HBRF theory, encompassing over 96,000 hours of synchronized data acquisition across human physiology and geomagnetic variables, positions it as the most empirically robust theory of consciousness to date. Unlike many theories derived from speculative quantum mechanics or theoretical philosophy, HBRF is grounded in large scale, multi site experimental validation including data from the Global Coherence Monitoring Systems (GCMS), which captures continuous geomagnetic field dynamics and their interaction with human autonomic rhythms. Crucially, HBRF theory recenters consciousness in the human heart, proposing that the heart’s electromagnetic field acts not only as a local regulatory mechanism but also as a global resonant transmitter and receiver within the Earth’s magnetosphere. Through mechanisms such as Schumann resonance coupling, solar wind entrainment, and field-line resonances, the heart operates as a bio-astrophysical transducer of information, a node in a planetary scale information network. This positioning opens new philosophical and empirical dimensions for consciousness science, suggesting that the heart’s coherent electromagnetic oscillations both shape and are shaped by the larger energetic ecology in which the organism is embedded. This resonates with theories of noospheric evolution, morphic resonance, and informational cosmology, all of which have until now remained at the fringes of empirical science. The Heart-Based Resonant Field Theory offers the first unified, biologically anchored, and astrophysically synchronized model of human consciousness that is both measurable and predictive. It transcends the limitations of neuro centric and reductionist frameworks and provides a scientifically grounded basis for understanding consciousness as a dynamic, field based phenomenon rooted in the resonant properties of the human heart. With this new perspective, Beethoven’s Ninth Symphony, when viewed through the prism of the Heart Based Resonant Field Theory, transcends its traditional categorization as a musical masterpiece. It becomes a manifestation of quantum coherent consciousness, a testament to the heart’s role in transducing nonlocal awareness into structured creative output. The work exemplifies how emotionally coherent, heart-centered states can bypass sensory limitations, access transpersonal information fields, and resonate with the collective human spirit, across time, geography, and epistemic boundaries.
4. Consciousness heroes in the current era
Human consciousness remains one of the most elusive topics in scientific history, sparking debates for thousands of years. Historical contributions play a crucial role in shaping our understanding of consciousness. Aristotle characterized the mind as a part of the soul that knows and understands, asserting a close connection between the soul and the body. Titus Lucretius Carus and Aelius Galenus emphasized the body’s role in emotions and intellect, suggesting that personality and thought are not solely brain generated. During the Islamic Golden Age, scholars like Abū Bakr al-Rāzī and Ibn Sina (Avicenna) advanced the exploration of mind and consciousness, often rejecting the idea that the brain is the sole source of consciousness. Avicenna’s “Flying Man” or “a man in the space” experiment highlighted self-awareness independent of sensory experience, a notion echoed by René Descartes with his famous assertion, “I think, therefore I am.” In the 19th and 20th centuries, figures like Pierre Paul Broca and Carl Wernicke expanded our understanding of cerebral localization, yet their discoveries pointed to a more complex relationship between brain regions and cognitive functions. Despite significant advancements in the last century, our understanding of consciousness is still limited. The dominant materialistic view, particularly in the 20th and 21st centuries, has often confined consciousness to brain function, neglecting holistic perspectives that integrate ancient wisdom and modern scientific advances across various disciplines. David Chalmers introduced the “hard problem of consciousness,” emphasizing the distinction between the brain’s physical processes and the subjective experience of consciousness. This perspective invites exploration beyond traditional brain-centric models. Rupert Sheldrake’s theory of “morphic resonance” proposes that consciousness may be influenced by nonmaterial fields, advocating for a broader understanding of consciousness beyond the brain. Eben Alexander, a neurosurgeon who experienced a near-death event, argued that consciousness exists independently of the brain, while Stanislav Grof explored non ordinary states through transpersonal psychology, highlighting experiences that transcend typical brain functions. Wilder Penfield’s mapping of the cerebral cortex revealed that intellectual thought could not be stimulated directly, suggesting that consciousness may not be entirely brain-based. Roger Sperry’s split-brain research demonstrated that even when the brain’s hemispheres are separated, individuals maintain a unified (not split) consciousness. This challenges strict brain centric views and suggests that consciousness may emerge from a more complex interplay of factors. Karl Pribram’s holographic model suggested that consciousness is distributed throughout the body and environment, not localized solely in the brain. It became conspicuous more than any time that the exploration of consciousness requires a departure from the narrow confines of brain based theories. A holistic approach that considers the contributions of the heart, quantum physics, and broader environmental influences may lead to a deeper understanding of human consciousness.
4.1 Bridging Wilder Penfield’s Observations with the Alabdulgader Heart-Based Resonant Field Theory of Human Consciousness
A significant impetus for our historical and theoretical inquiry into the origin of human consciousness stems from the pioneering work of one of the most influential figures in the history of neuroscience: the distinguished Canadian neurosurgeon and neuroscientist, Wilder Penfield (1891–1976) (figure 2). Over the course of three decades, Penfield conducted extensive brain mapping studies involving electrical stimulation of the cerebral cortex in conscious patients undergoing neurosurgical procedures, particularly for epilepsy. His early investigations were grounded in the neuronal firing theory, which posits that specific electrical patterns in localized brain regions are directly responsible for generating conscious experience. However, through repeated empirical observation, Penfield ultimately found this explanatory model insufficient. In the latter part of his career, particularly in his seminal work The Mystery of the Mind, he concluded that conscious phenomena especially those involving abstract reasoning, volition, and higher order cognition could not be fully accounted for by brain activity alone. He wrote: “In the end, I concluded that I could not account for the mind’s actions on the basis of the brain’s activities. I concluded that it is not possible to explain the mind on the basis of brain action alone. Evidence such as that I have considered here makes me believe that the mind is a distinct and different essence.” Penfield consistently demonstrated that electrical stimulation of the cortex could evoke sensory experiences, motor responses, and vivid memory recall. However, he was never able to induce acts of will, judgment, or abstract cognition through cortical activation. These observations led him to propose that the mind is not reducible to neural mechanisms, but instead represents a distinct, possibly non-physical, entity that exerts top down influence on the brain. His interpretation aligns with a dualistic framework, suggesting that consciousness arises from interactions beyond the physical substrate of neural tissue. This perspective finds theoretical resonance in the Alabdulgader Heart Based Resonant Field Theory of Human Consciousness, which posits that consciousness emerges from a coherent field based system centered in the heart. According to this model, the heart generates a dynamic electromagnetic field that functions as the principal modulator of self awareness, intentionality, and affective cognitive integration, while the brain acts as a peripheral processor within this bioelectromagnetic system. The convergence between Penfield’s empirical findings and the foundational principles of the Alabdulgader theory suggests a paradigm shift in our understanding of consciousness. Penfield’s consistent failure to evoke volitional or abstract thought through cortical stimulation supports the hypothesis that such mental phenomena are mediated by a nonlocal source, potentially the coherent field generated by the heart. This interpretation gains additional support from contemporary research in heart brain coherence and the emerging field of biofield science. Moreover, developments in quantum biology and biophysics have introduced plausible mechanisms by which the body’s electromagnetic fields, particularly those produced by cardiac activity, may participate in cognitive and emotional regulation. These findings lend empirical plausibility to the notion that consciousness emerges from system wide electromagnetic interactions rather than localized neuronal firing alone. Thus, Penfield’s observations, far from being historical curiosities, can be reframed as foundational empirical evidence for a field based model of consciousness. His conclusion that the brain alone cannot account for willful and abstract thought anticipates the integrative framework provided by the Alabdulgader Heart-Based Resonant Field Theory. In this model, the heart is not merely a circulatory organ but a central player in the generation of consciousness through the modulation of electromagnetic coherence fields. The alignment between Penfield’s surgical findings and the Alabdulgader model invites renewed scientific attention to holistic and non local paradigms of consciousness.

4.2 Bridging Santiago Ramón y Cajal’s Neuroanatomical Legacy with the Alabdulgader Heart Based Resonant Field Theory of Human Consciousness
Santiago Ramón y Cajal (1852–1934), widely regarded as the father of modern neuroscience, fundamentally reshaped our understanding of the nervous system through his articulation of the neuron doctrine considering the proposition that the brain is composed of discrete, individual cellular units rather than a continuous syncytium. Building on Camillo Golgi’s silver staining technique, Cajal refined and applied this method to produce meticulous histological illustrations of neural tissue, revealing the extraordinary complexity and compartmentalized organization of the central nervous system. His magnum opus, Textura del sistema nervioso del hombre y de los vertebrados, laid the anatomical foundation upon which modern neurobiology is built. Among Cajal’s most influential contributions was the principle of dynamic polarization, which posits that information flows through neurons in a unidirectional manner, from dendrites to soma to axon terminals, thus establishing a physiological framework for understanding neural communication and, by extension, what is supposed to be mental function. These discoveries earned him the 1906 Nobel Prize in Physiology or Medicine, shared with Golgi, marking the formal birth of cellular neuroscience (figure 3). Cajal is frequently interpreted as a staunch biological materialist, advocating a mechanistic view in which consciousness and cognition emerge from the structure and activity of neuronal networks. However, a deeper reading of his corpus reveals philosophical nuance. While committed to scientific empiricism, Cajal acknowledged the profound limits of reductionism in capturing the essence of subjective experience. His poetic reference to neurons as the “mysterious butterflies of the soul” (Cajal, 1900) reflects a contemplative openness to non material dimensions of the human mind. Moreover, his emphasis on neuroplasticity: the capacity of neural circuits to reorganize in response to experience, subtly challenged the notion of the brain as a deterministic, unchanging substrate, and pointed toward a more dynamic, integrative conception of mind brain interactions. This nuanced perspective resonates with the Alabdulgader Heart-Based Resonant Field Theory of Human Consciousness, which posits that consciousness is not solely the emergent product of neural networks but arises from a bioelectromagnetic field system centered in the heart. According to the HBRF model, the brain serves as a high-speed processor of sensory and cognitive information, but the heart functions as the primary generator of a resonant electromagnetic field that modulates the coherence, intentionality, and integrative depth of conscious awareness. Cajal’s insights into the dynamic plasticity of the brain and his poetic acknowledgment of the unknown dimensions of mind offer a fertile ground for conceptual alignment with the HBRF theory. In particular, his recognition of the brain’s adaptive responsiveness to internal and external stimuli invites consideration of field-based regulatory mechanisms such as those hypothesized in the HBRF model as potential modulators of neuroplastic changes. If neuronal structure and function are not fixed but modifiable, then non local, system-wide coherence fields (as generated by cardiac activity) may serve as organizing principles for neural adaptation and mental integration. Furthermore, Cajal’s methodological emphasis on structural connectivity—the precise mapping of neural circuits—may be viewed as the anatomical counterpart to the functional connectivity proposed in Alabdulgader HBRF theory, which emphasize electromagnetic coherence across organ systems as foundational to conscious experience. The heart, as the most powerful generator of rhythmic bioelectromagnetic signals in the body, is ideally positioned to serve as a central integrative node in such a system. Although Cajal did not explicitly propose a field based or extracerebral theory of consciousness, his openness to mystery, his recognition of the plastic and dynamic nature of neural systems, and his poetic intuition regarding the “soul” of the neuron all suggest an implicit receptivity to models that transcend strict materialism. The Alabdulgader HBRF theory, by proposing that the heart’s resonant field functions as a modulator and possibly an initiator of consciousness, provides a contemporary theoretical framework that complements Cajal’s vision by extending it into the domain of systemic biofield dynamics and heart brain integration. In this light, Cajal’s contributions are not limited to the structural elucidation of the nervous system but serve as an essential bridge to more holistic theories of consciousness. His legacy inspires a reevaluation of the central dogmas of neuroscience in favor of models that honor both empirical rigor and the profound enigma of subjective experience.

5. Alabdulgader Heart Based Resonant Field Theory of Human Consciousness: A Heart-Centered Quantum Theory of Consciousness
The Alabdulgader Heart-Based Resonant Field Theory of Human Consciousness proposes a bold and integrative model in which consciousness is not merely a product of neurochemical brain activity but emerges from the complex resonant interaction between the heart and the electromagnetic (EM) field. Grounded in both empirical cardiology, quantum biophysical, and astrophysical dimensions, the HBRF theory compensates for scientific historical gaps in human consciousness approach. It is based on human heart as the center of human consciousness experience that orchestrates with the planetary and cosmic energetic fields. Striking strength of the HBRF theory is its strong experimental bases.
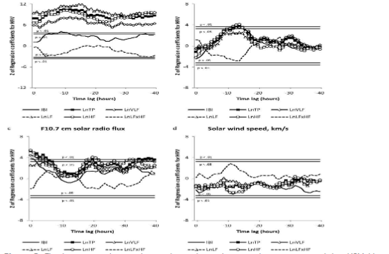
5.1 Empirical Foundations of the Heart-Based Resonant Field Theory: HRV as a Window into Human-Cosmic Electromagnetic Coherence
This section summarizes the experimental foundation of the Heart-Based Resonant Field (HBRF) Theory of Consciousness as detailed in the long-term study titled “Heart Rate Variability Responses to Changes in the Solar and Geomagnetic Environment” (Nature Scientific Reports, 2018). Heart Rate Variability measures used in this study were the IBI, Total Power, low frequency (LF), and high frequency (HF) power, and the LF/HF ratio. Both time domain as well as frequency domain methods of analyzing HRV were used. All HRV recordings were downloaded from the FTP site to a PC workstation and analyzed using DADiSP 6.5. Inter-beat-intervals greater or less than 30% of the mean of the previous 4 intervals were considered artifacts and removed from the analysis record. Following an automated editing procedure, all recordings were manually reviewed by an experienced technician and, if needed, corrected. Daily recordings were processed in consecutive 5 minute segments in accordance with the standards established by the HRV Task Force. Any 5 minute segment with >10% of the IBIs either missing or removed in editing were excluded from analysis. Results of the 5-minute segments were averaged into hourly values to match the resolution of the environmental data sets. Local HRV data timestamps were converted to UTC and synchronized with the environmental data sets. Space weather and environmental measures were obtained from three sources, comprising nine measures. The solar wind speed, Kp index, Ap index, number of sunspots, F10.7 index, and the geomagnetic polar cap index (PCN) were downloaded from NASA Goddard Space Flight Center’s Space Physics Data Facility as part of the Omni 2 data set. Cosmic ray counts were downloaded from Finland’s University of Oulu’s Sodankyla Geophysical Observatory’s website. Power in the time varying magnetic field in two frequency bands, Schumann Resonance Power (SRP), 3.5 to 36 Hz and ULF power, 2 mHz to 3.5 Hz were obtained from a recording site located in Boulder Creek, California. A network of highly sensitive induction coil magnetometers (Zonge ANT-4; sensitivity 10-12 T) as part of a special project called the Global Coherence Initiative were utilized. Each site includes two magnetometers positioned in the north-south and east-west axis to detect local time varying magnetic field strengths over a relatively wide frequency range (0.001–50 Hz) while maintaining a flat frequency response. The data acquisition infrastructure collects and timestamps all data using GPS time signals before uploading to a common server. Each magnetometer is continuously sampled at a rate of 130 Hz. This study provides strong empirical evidence that human heart rate variability (HRV), a key psychophysiological measure reflecting autonomic nervous system dynamics, is significantly affected by fluctuations in the solar and geomagnetic environment. These findings serve as a core scientific basis for the HBRF theory’s proposal that consciousness arises from a resonance between intrinsic cardiac rhythms and the Earth’s energetic environment. Increases in cosmic rays, solar radio flux, and Schumann Resonance power were positively correlated with increases in HRV (particularly in VLF, LF, and HF bands), indicating enhanced parasympathetic activity and physiological coherence. Environmental and HRV correlates and corresponding significance calculations were completed (table 1 and table 2 are showing environmental as well as HRV correlates, respectively).


6. Alabdulgader Heart Based Resonant Field Theory of Human Consciousness: A Heart-Centered Quantum Theory of Consciousness
The Alabdulgader Heart-Based Resonant Field Theory of Human Consciousness proposes a bold and integrative model in which consciousness is not merely a product of neurochemical brain activity but emerges from the complex resonant interaction between the heart and the electromagnetic (EM) field. Grounded in both empirical cardiology, quantum biophysical, and astrophysical dimensions, the HBRF theory compensates for scientific historical gaps in human consciousness approach. It is based on human heart as the center of human consciousness experience that orchestrates with the planetary and cosmic energetic fields. Striking strength of the HBRF theory is its strong experimental bases.
6.1 Empirical Foundations of the Heart-Based Resonant Field Theory: HRV as a Window into Human-Cosmic Electromagnetic Coherence
This section summarizes the experimental foundation of the Heart-Based Resonant Field (HBRF) Theory of Consciousness as detailed in the long-term study titled “Heart Rate Variability Responses to Changes in the Solar and Geomagnetic Environment” (Nature Scientific Reports, 2018). Heart Rate Variability measures used in this study were the IBI, Total Power, low frequency (LF), and high frequency (HF) power, and the LF/HF ratio. Both time domain as well as frequency domain methods of analyzing HRV were used. All HRV recordings were downloaded from the FTP site to a PC workstation and analyzed using DADiSP 6.5. Inter-beat-intervals greater or less than 30% of the mean of the previous 4 intervals were considered artifacts and removed from the analysis record. Following an automated editing procedure, all recordings were manually reviewed by an experienced technician and, if needed, corrected. Daily recordings were processed in consecutive 5 minute segments in accordance with the standards established by the HRV Task Force. Any 5 minute segment with >10% of the IBIs either missing or removed in editing were excluded from analysis. Results of the 5-minute segments were averaged into hourly values to match the resolution of the environmental data sets. Local HRV data timestamps were converted to UTC and synchronized with the environmental data sets. Space weather and environmental measures were obtained from three sources, comprising nine measures. The solar wind speed, Kp index, Ap index, number of sunspots, F10.7 index, and the geomagnetic polar cap index (PCN) were downloaded from NASA Goddard Space Flight Center’s Space Physics Data Facility as part of the Omni 2 data set. Cosmic ray counts were downloaded from Finland’s University of Oulu’s Sodankyla Geophysical Observatory’s website. Power in the time varying magnetic field in two frequency bands, Schumann Resonance Power (SRP), 3.5 to 36 Hz and ULF power, 2 mHz to 3.5 Hz were obtained from a recording site located in Boulder Creek, California. A network of highly sensitive induction coil magnetometers (Zonge ANT-4; sensitivity 10-12 T) as part of a special project called the Global Coherence Initiative were utilized. Each site includes two magnetometers positioned in the north-south and east-west axis to detect local time varying magnetic field strengths over a relatively wide frequency range (0.001–50 Hz) while maintaining a flat frequency response. The data acquisition infrastructure collects and timestamps all data using GPS time signals before uploading to a common server. Each magnetometer is continuously sampled at a rate of 130 Hz. This study provides strong empirical evidence that human heart rate variability (HRV), a key psychophysiological measure reflecting autonomic nervous system dynamics, is significantly affected by fluctuations in the solar and geomagnetic environment. These findings serve as a core scientific basis for the HBRF theory’s proposal that consciousness arises from a resonance between intrinsic cardiac rhythms and the Earth’s energetic environment. Increases in cosmic rays, solar radio flux, and Schumann Resonance power were positively correlated with increases in HRV (particularly in VLF, LF, and HF bands), indicating enhanced parasympathetic activity and physiological coherence. Environmental and HRV correlates and corresponding significance calculations were completed (table 1 and table 2 are showing environmental as well as HRV correlates, respectively).


7. Alabdulgader Heart Based Resonant Field Theory of Human Consciousness: A Heart-Centered Quantum Theory of Consciousness
The Alabdulgader Heart-Based Resonant Field Theory of Human Consciousness proposes a bold and integrative model in which consciousness is not merely a product of neurochemical brain activity but emerges from the complex resonant interaction between the heart and the electromagnetic (EM) field. Grounded in both empirical cardiology, quantum biophysical, and astrophysical dimensions, the HBRF theory compensates for scientific historical gaps in human consciousness approach. It is based on human heart as the center of human consciousness experience that orchestrates with the planetary and cosmic energetic fields. Striking strength of the HBRF theory is its strong experimental bases.
7.1 Empirical Foundations of the Heart-Based Resonant Field Theory: HRV as a Window into Human-Cosmic Electromagnetic Coherence
This section summarizes the experimental foundation of the Heart-Based Resonant Field (HBRF) Theory of Consciousness as detailed in the long-term study titled “Heart Rate Variability Responses to Changes in the Solar and Geomagnetic Environment” (Nature Scientific Reports, 2018). Heart Rate Variability measures used in this study were the IBI, Total Power, low frequency (LF), and high frequency (HF) power, and the LF/HF ratio. Both time domain as well as frequency domain methods of analyzing HRV were used. All HRV recordings were downloaded from the FTP site to a PC workstation and analyzed using DADiSP 6.5. Inter-beat-intervals greater or less than 30% of the mean of the previous 4 intervals were considered artifacts and removed from the analysis record. Following an automated editing procedure, all recordings were manually reviewed by an experienced technician and, if needed, corrected. Daily recordings were processed in consecutive 5 minute segments in accordance with the standards established by the HRV Task Force. Any 5 minute segment with >10% of the IBIs either missing or removed in editing were excluded from analysis. Results of the 5-minute segments were averaged into hourly values to match the resolution of the environmental data sets. Local HRV data timestamps were converted to UTC and synchronized with the environmental data sets. Space weather and environmental measures were obtained from three sources, comprising nine measures. The solar wind speed, Kp index, Ap index, number of sunspots, F10.7 index, and the geomagnetic polar cap index (PCN) were downloaded from NASA Goddard Space Flight Center’s Space Physics Data Facility as part of the Omni 2 data set. Cosmic ray counts were downloaded from Finland’s University of Oulu’s Sodankyla Geophysical Observatory’s website. Power in the time varying magnetic field in two frequency bands, Schumann Resonance Power (SRP), 3.5 to 36 Hz and ULF power, 2 mHz to 3.5 Hz were obtained from a recording site located in Boulder Creek, California. A network of highly sensitive induction coil magnetometers (Zonge ANT-4; sensitivity 10-12 T) as part of a special project called the Global Coherence Initiative were utilized. Each site includes two magnetometers positioned in the north-south and east-west axis to detect local time varying magnetic field strengths over a relatively wide frequency range (0.001–50 Hz) while maintaining a flat frequency response. The data acquisition infrastructure collects and timestamps all data using GPS time signals before uploading to a common server. Each magnetometer is continuously sampled at a rate of 130 Hz. This study provides strong empirical evidence that human heart rate variability (HRV), a key psychophysiological measure reflecting autonomic nervous system dynamics, is significantly affected by fluctuations in the solar and geomagnetic environment. These findings serve as a core scientific basis for the HBRF theory’s proposal that consciousness arises from a resonance between intrinsic cardiac rhythms and the Earth’s energetic environment. Increases in cosmic rays, solar radio flux, and Schumann Resonance power were positively correlated with increases in HRV (particularly in VLF, LF, and HF bands), indicating enhanced parasympathetic activity and physiological coherence. Environmental and HRV correlates and corresponding significance calculations were completed (table 1 and table 2 are showing environmental as well as HRV correlates, respectively).


8. Alabdulgader Heart Based Resonant Field Theory of Human Consciousness: A Heart-Centered Quantum Theory of Consciousness
The Alabdulgader Heart-Based Resonant Field Theory of Human Consciousness proposes a bold and integrative model in which consciousness is not merely a product of neurochemical brain activity but emerges from the complex resonant interaction between the heart and the electromagnetic (EM) field. Grounded in both empirical cardiology, quantum biophysical, and astrophysical dimensions, the HBRF theory compensates for scientific historical gaps in human consciousness approach. It is based on human heart as the center of human consciousness experience that orchestrates with the planetary and cosmic energetic fields. Striking strength of the HBRF theory is its strong experimental bases.
8.1 Empirical Foundations of the Heart-Based Resonant Field Theory: HRV as a Window into Human-Cosmic Electromagnetic Coherence
This section summarizes the experimental foundation of the Heart-Based Resonant Field (HBRF) Theory of Consciousness as detailed in the long-term study titled “Heart Rate Variability Responses to Changes in the Solar and Geomagnetic Environment” (Nature Scientific Reports, 2018). Heart Rate Variability measures used in this study were the IBI, Total Power, low frequency (LF), and high frequency (HF) power, and the LF/HF ratio. Both time domain as well as frequency domain methods of analyzing HRV were used. All HRV recordings were downloaded from the FTP site to a PC workstation and analyzed using DADiSP 6.5. Inter-beat-intervals greater or less than 30% of the mean of the previous 4 intervals were considered artifacts and removed from the analysis record. Following an automated editing procedure, all recordings were manually reviewed by an experienced technician and, if needed, corrected. Daily recordings were processed in consecutive 5 minute segments in accordance with the standards established by the HRV Task Force. Any 5 minute segment with >10% of the IBIs either missing or removed in editing were excluded from analysis. Results of the 5-minute segments were averaged into hourly values to match the resolution of the environmental data sets. Local HRV data timestamps were converted to UTC and synchronized with the environmental data sets. Space weather and environmental measures were obtained from three sources, comprising nine measures. The solar wind speed, Kp index, Ap index, number of sunspots, F10.7 index, and the geomagnetic polar cap index (PCN) were downloaded from NASA Goddard Space Flight Center’s Space Physics Data Facility as part of the Omni 2 data set. Cosmic ray counts were downloaded from Finland’s University of Oulu’s Sodankyla Geophysical Observatory’s website. Power in the time varying magnetic field in two frequency bands, Schumann Resonance Power (SRP), 3.5 to 36 Hz and ULF power, 2 mHz to 3.5 Hz were obtained from a recording site located in Boulder Creek, California. A network of highly sensitive induction coil magnetometers (Zonge ANT-4; sensitivity 10-12 T) as part of a special project called the Global Coherence Initiative were utilized. Each site includes two magnetometers positioned in the north-south and east-west axis to detect local time varying magnetic field strengths over a relatively wide frequency range (0.001–50 Hz) while maintaining a flat frequency response. The data acquisition infrastructure collects and timestamps all data using GPS time signals before uploading to a common server. Each magnetometer is continuously sampled at a rate of 130 Hz. This study provides strong empirical evidence that human heart rate variability (HRV), a key psychophysiological measure reflecting autonomic nervous system dynamics, is significantly affected by fluctuations in the solar and geomagnetic environment. These findings serve as a core scientific basis for the HBRF theory’s proposal that consciousness arises from a resonance between intrinsic cardiac rhythms and the Earth’s energetic environment. Increases in cosmic rays, solar radio flux, and Schumann Resonance power were positively correlated with increases in HRV (particularly in VLF, LF, and HF bands), indicating enhanced parasympathetic activity and physiological coherence. Environmental and HRV correlates and corresponding significance calculations were completed (table 1 and table 2 are showing environmental as well as HRV correlates, respectively).


9. Alabdulgader Heart Based Resonant Field Theory of Human Consciousness: A Heart-Centered Quantum Theory of Consciousness
The Alabdulgader Heart-Based Resonant Field Theory of Human Consciousness proposes a bold and integrative model in which consciousness is not merely a product of neurochemical brain activity but emerges from the complex resonant interaction between the heart and the electromagnetic (EM) field. Grounded in both empirical cardiology, quantum biophysical, and astrophysical dimensions, the HBRF theory compensates for scientific historical gaps in human consciousness approach. It is based on human heart as the center of human consciousness experience that orchestrates with the planetary and cosmic energetic fields. Striking strength of the HBRF theory is its strong experimental bases.
9.1 Empirical Foundations of the Heart-Based Resonant Field Theory: HRV as a Window into Human-Cosmic Electromagnetic Coherence
This section summarizes the experimental foundation of the Heart-Based Resonant Field (HBRF) Theory of Consciousness as detailed in the long-term study titled “Heart Rate Variability Responses to Changes in the Solar and Geomagnetic Environment” (Nature Scientific Reports, 2018). Heart Rate Variability measures used in this study were the IBI, Total Power, low frequency (LF), and high frequency (HF) power, and the LF/HF ratio. Both time domain as well as frequency domain methods of analyzing HRV were used. All HRV recordings were downloaded from the FTP site to a PC workstation and analyzed using DADiSP 6.5. Inter-beat-intervals greater or less than 30% of the mean of the previous 4 intervals were considered artifacts and removed from the analysis record. Following an automated editing procedure, all recordings were manually reviewed by an experienced technician and, if needed, corrected. Daily recordings were processed in consecutive 5 minute segments in accordance with the standards established by the HRV Task Force. Any 5 minute segment with >10% of the IBIs either missing or removed in editing were excluded from analysis. Results of the 5-minute segments were averaged into hourly values to match the resolution of the environmental data sets. Local HRV data timestamps were converted to UTC and synchronized with the environmental data sets. Space weather and environmental measures were obtained from three sources, comprising nine measures. The solar wind speed, Kp index, Ap index, number of sunspots, F10.7 index, and the geomagnetic polar cap index (PCN) were downloaded from NASA Goddard Space Flight Center’s Space Physics Data Facility as part of the Omni 2 data set. Cosmic ray counts were downloaded from Finland’s University of Oulu’s Sodankyla Geophysical Observatory’s website. Power in the time varying magnetic field in two frequency bands, Schumann Resonance Power (SRP), 3.5 to 36 Hz and ULF power, 2 mHz to 3.5 Hz were obtained from a recording site located in Boulder Creek, California. A network of highly sensitive induction coil magnetometers (Zonge ANT-4; sensitivity 10-12 T) as part of a special project called the Global Coherence Initiative were utilized. Each site includes two magnetometers positioned in the north-south and east-west axis to detect local time varying magnetic field strengths over a relatively wide frequency range (0.001–50 Hz) while maintaining a flat frequency response. The data acquisition infrastructure collects and timestamps all data using GPS time signals before uploading to a common server. Each magnetometer is continuously sampled at a rate of 130 Hz. This study provides strong empirical evidence that human heart rate variability (HRV), a key psychophysiological measure reflecting autonomic nervous system dynamics, is significantly affected by fluctuations in the solar and geomagnetic environment. These findings serve as a core scientific basis for the HBRF theory’s proposal that consciousness arises from a resonance between intrinsic cardiac rhythms and the Earth’s energetic environment. Increases in cosmic rays, solar radio flux, and Schumann Resonance power were positively correlated with increases in HRV (particularly in VLF, LF, and HF bands), indicating enhanced parasympathetic activity and physiological coherence. Environmental and HRV correlates and corresponding significance calculations were completed (table 1 and table 2 are showing environmental as well as HRV correlates, respectively).


10. Alabdulgader Heart Based Resonant Field Theory of Human Consciousness: A Heart-Centered Quantum Theory of Consciousness
The Alabdulgader Heart-Based Resonant Field Theory of Human Consciousness proposes a bold and integrative model in which consciousness is not merely a product of neurochemical brain activity but emerges from the complex resonant interaction between the heart and the electromagnetic (EM) field. Grounded in both empirical cardiology, quantum biophysical, and astrophysical dimensions, the HBRF theory compensates for scientific historical gaps in human consciousness approach. It is based on human heart as the center of human consciousness experience that orchestrates with the planetary and cosmic energetic fields. Striking strength of the HBRF theory is its strong experimental bases.
10.1 Empirical Foundations of the Heart-Based Resonant Field Theory: HRV as a Window into Human-Cosmic Electromagnetic Coherence
This section summarizes the experimental foundation of the Heart-Based Resonant Field (HBRF) Theory of Consciousness as detailed in the long-term study titled “Heart Rate Variability Responses to Changes in the Solar and Geomagnetic Environment” (Nature Scientific Reports, 2018). Heart Rate Variability measures used in this study were the IBI, Total Power, low frequency (LF), and high frequency (HF) power, and the LF/HF ratio. Both time domain as well as frequency domain methods of analyzing HRV were used. All HRV recordings were downloaded from the FTP site to a PC workstation and analyzed using DADiSP 6.5. Inter-beat-intervals greater or less than 30% of the mean of the previous 4 intervals were considered artifacts and removed from the analysis record. Following an automated editing procedure, all recordings were manually reviewed by an experienced technician and, if needed, corrected. Daily recordings were processed in consecutive 5 minute segments in accordance with the standards established by the HRV Task Force. Any 5 minute segment with >10% of the IBIs either missing or removed in editing were excluded from analysis. Results of the 5-minute segments were averaged into hourly values to match the resolution of the environmental data sets. Local HRV data timestamps were converted to UTC and synchronized with the environmental data sets. Space weather and environmental measures were obtained from three sources, comprising nine measures. The solar wind speed, Kp index, Ap index, number of sunspots, F10.7 index, and the geomagnetic polar cap index (PCN) were downloaded from NASA Goddard Space Flight Center’s Space Physics Data Facility as part of the Omni 2 data set. Cosmic ray counts were downloaded from Finland’s University of Oulu’s Sodankyla Geophysical Observatory’s website. Power in the time varying magnetic field in two frequency bands, Schumann Resonance Power (SRP), 3.5 to 36 Hz and ULF power, 2 mHz to 3.5 Hz were obtained from a recording site located in Boulder Creek, California. A network of highly sensitive induction coil magnetometers (Zonge ANT-4; sensitivity 10-12 T) as part of a special project called the Global Coherence Initiative were utilized. Each site includes two magnetometers positioned in the north-south and east-west axis to detect local time varying magnetic field strengths over a relatively wide frequency range (0.001–50 Hz) while maintaining a flat frequency response. The data acquisition infrastructure collects and timestamps all data using GPS time signals before uploading to a common server. Each magnetometer is continuously sampled at a rate of 130 Hz. This study provides strong empirical evidence that human heart rate variability (HRV), a key psychophysiological measure reflecting autonomic nervous system dynamics, is significantly affected by fluctuations in the solar and geomagnetic environment. These findings serve as a core scientific basis for the HBRF theory’s proposal that consciousness arises from a resonance between intrinsic cardiac rhythms and the Earth’s energetic environment. Increases in cosmic rays, solar radio flux, and Schumann Resonance power were positively correlated with increases in HRV (particularly in VLF, LF, and HF bands), indicating enhanced parasympathetic activity and physiological coherence. Environmental and HRV correlates and corresponding significance calculations were completed (table 1 and table 2 are showing environmental as well as HRV correlates, respectively).


11. Alabdulgader Heart Based Resonant Field Theory of Human Consciousness: A Heart-Centered Quantum Theory of Consciousness
The Alabdulgader Heart-Based Resonant Field Theory of Human Consciousness proposes a bold and integrative model in which consciousness is not merely a product of neurochemical brain activity but emerges from the complex resonant interaction between the heart and the electromagnetic (EM) field. Grounded in both empirical cardiology, quantum biophysical, and astrophysical dimensions, the HBRF theory compensates for scientific historical gaps in human consciousness approach. It is based on human heart as the center of human consciousness experience that orchestrates with the planetary and cosmic energetic fields. Striking strength of the HBRF theory is its strong experimental bases.
11.1 Empirical Foundations of the Heart-Based Resonant Field Theory: HRV as a Window into Human-Cosmic Electromagnetic Coherence
This section summarizes the experimental foundation of the Heart-Based Resonant Field (HBRF) Theory of Consciousness as detailed in the long-term study titled “Heart Rate Variability Responses to Changes in the Solar and Geomagnetic Environment” (Nature Scientific Reports, 2018). Heart Rate Variability measures used in this study were the IBI, Total Power, low frequency (LF), and high frequency (HF) power, and the LF/HF ratio. Both time domain as well as frequency domain methods of analyzing HRV were used. All HRV recordings were downloaded from the FTP site to a PC workstation and analyzed using DADiSP 6.5. Inter-beat-intervals greater or less than 30% of the mean of the previous 4 intervals were considered artifacts and removed from the analysis record. Following an automated editing procedure, all recordings were manually reviewed by an experienced technician and, if needed, corrected. Daily recordings were processed in consecutive 5 minute segments in accordance with the standards established by the HRV Task Force. Any 5 minute segment with >10% of the IBIs either missing or removed in editing were excluded from analysis. Results of the 5-minute segments were averaged into hourly values to match the resolution of the environmental data sets. Local HRV data timestamps were converted to UTC and synchronized with the environmental data sets. Space weather and environmental measures were obtained from three sources, comprising nine measures. The solar wind speed, Kp index, Ap index, number of sunspots, F10.7 index, and the geomagnetic polar cap index (PCN) were downloaded from NASA Goddard Space Flight Center’s Space Physics Data Facility as part of the Omni 2 data set. Cosmic ray counts were downloaded from Finland’s University of Oulu’s Sodankyla Geophysical Observatory’s website. Power in the time varying magnetic field in two frequency bands, Schumann Resonance Power (SRP), 3.5 to 36 Hz and ULF power, 2 mHz to 3.5 Hz were obtained from a recording site located in Boulder Creek, California. A network of highly sensitive induction coil magnetometers (Zonge ANT-4; sensitivity 10-12 T) as part of a special project called the Global Coherence Initiative were utilized. Each site includes two magnetometers positioned in the north-south and east-west axis to detect local time varying magnetic field strengths over a relatively wide frequency range (0.001–50 Hz) while maintaining a flat frequency response. The data acquisition infrastructure collects and timestamps all data using GPS time signals before uploading to a common server. Each magnetometer is continuously sampled at a rate of 130 Hz. This study provides strong empirical evidence that human heart rate variability (HRV), a key psychophysiological measure reflecting autonomic nervous system dynamics, is significantly affected by fluctuations in the solar and geomagnetic environment. These findings serve as a core scientific basis for the HBRF theory’s proposal that consciousness arises from a resonance between intrinsic cardiac rhythms and the Earth’s energetic environment. Increases in cosmic rays, solar radio flux, and Schumann Resonance power were positively correlated with increases in HRV (particularly in VLF, LF, and HF bands), indicating enhanced parasympathetic activity and physiological coherence. Environmental and HRV correlates and corresponding significance calculations were completed (table 1 and table 2 are showing environmental as well as HRV correlates, respectively).

12. Alabdulgader Heart Based Resonant Field Theory of Human Consciousness: A Heart-Centered Quantum Theory of Consciousness
The Alabdulgader Heart-Based Resonant Field Theory of Human Consciousness proposes a bold and integrative model in which consciousness is not merely a product of neurochemical brain activity but emerges from the complex resonant interaction between the heart and the electromagnetic (EM) field. Grounded in both empirical cardiology, quantum biophysical, and astrophysical dimensions, the HBRF theory compensates for scientific historical gaps in human consciousness approach. It is based on human heart as the center of human consciousness experience that orchestrates with the planetary and cosmic energetic fields. Striking strength of the HBRF theory is its strong experimental bases.
12.1 Empirical Foundations of the Heart-Based Resonant Field Theory: HRV as a Window into Human-Cosmic Electromagnetic Coherence
This section summarizes the experimental foundation of the Heart-Based Resonant Field (HBRF) Theory of Consciousness as detailed in the long-term study titled “Heart Rate Variability Responses to Changes in the Solar and Geomagnetic Environment” (Nature Scientific Reports, 2018). Heart Rate Variability measures used in this study were the IBI, Total Power, low frequency (LF), and high frequency (HF) power, and the LF/HF ratio. Both time domain as well as frequency domain methods of analyzing HRV were used. All HRV recordings were downloaded from the FTP site to a PC workstation and analyzed using DADiSP 6.5. Inter-beat-intervals greater or less than 30% of the mean of the previous 4 intervals were considered artifacts and removed from the analysis record. Following an automated editing procedure, all recordings were manually reviewed by an experienced technician and, if needed, corrected. Daily recordings were processed in consecutive 5 minute segments in accordance with the standards established by the HRV Task Force. Any 5 minute segment with >10% of the IBIs either missing or removed in editing were excluded from analysis. Results of the 5-minute segments were averaged into hourly values to match the resolution of the environmental data sets. Local HRV data timestamps were converted to UTC and synchronized with the environmental data sets. Space weather and environmental measures were obtained from three sources, comprising nine measures. The solar wind speed, Kp index, Ap index, number of sunspots, F10.7 index, and the geomagnetic polar cap index (PCN) were downloaded from NASA Goddard Space Flight Center’s Space Physics Data Facility as part of the Omni 2 data set. Cosmic ray counts were downloaded from Finland’s University of Oulu’s Sodankyla Geophysical Observatory’s website. Power in the time varying magnetic field in two frequency bands, Schumann Resonance Power (SRP), 3.5 to 36 Hz and ULF power, 2 mHz to 3.5 Hz were obtained from a recording site located in Boulder Creek, California. A network of highly sensitive induction coil magnetometers (Zonge ANT-4; sensitivity 10-12 T) as part of a special project called the Global Coherence Initiative were utilized. Each site includes two magnetometers positioned in the north-south and east-west axis to detect local time varying magnetic field strengths over a relatively wide frequency range (0.001–50 Hz) while maintaining a flat frequency response. The data acquisition infrastructure collects and timestamps all data using GPS time signals before uploading to a common server. Each magnetometer is continuously sampled at a rate of 130 Hz. This study provides strong empirical evidence that human heart rate variability (HRV), a key psychophysiological measure reflecting autonomic nervous system dynamics, is significantly affected by fluctuations in the solar and geomagnetic environment. These findings serve as a core scientific basis for the HBRF theory’s proposal that consciousness arises from a resonance between intrinsic cardiac rhythms and the Earth’s energetic environment. Increases in cosmic rays, solar radio flux, and Schumann Resonance power were positively correlated with increases in HRV (particularly in VLF, LF, and HF bands), indicating enhanced parasympathetic activity and physiological coherence. Environmental and HRV correlates and corresponding significance calculations were completed (table 1 and table 2 are showing environmental as well as HRV correlates, respectively).
13. Alabdulgader Heart Based Resonant Field Theory of Human Consciousness: A Heart-Centered Quantum Theory of Consciousness
The Alabdulgader Heart-Based Resonant Field Theory of Human Consciousness proposes a bold and integrative model in which consciousness is not merely a product of neurochemical brain activity but emerges from the complex resonant interaction between the heart and the electromagnetic (EM) field. Grounded in both empirical cardiology, quantum biophysical, and astrophysical dimensions, the HBRF theory compensates for scientific historical gaps in human consciousness approach. It is based on human heart as the center of human consciousness experience that orchestrates with the planetary and cosmic energetic fields. Striking strength of the HBRF theory is its strong experimental bases.
13.1 Empirical Foundations of the Heart-Based Resonant Field Theory: HRV as a Window into Human-Cosmic Electromagnetic Coherence
This section summarizes the experimental foundation of the Heart-Based Resonant Field (HBRF) Theory of Consciousness as detailed in the long-term study titled “Heart Rate Variability Responses to Changes in the Solar and Geomagnetic Environment” (Nature Scientific Reports, 2018). Heart Rate Variability measures used in this study were the IBI, Total Power, low frequency (LF), and high frequency (HF) power, and the LF/HF ratio. Both time domain as well as frequency domain methods of analyzing HRV were used. All HRV recordings were downloaded from the FTP site to a PC workstation and analyzed using DADiSP 6.5. Inter-beat-intervals greater or less than 30% of the mean of the previous 4 intervals were considered artifacts and removed from the analysis record. Following an automated editing procedure, all recordings were manually reviewed by an experienced technician and, if needed, corrected. Daily recordings were processed in consecutive 5 minute segments in accordance with the standards established by the HRV Task Force. Any 5 minute segment with >10% of the IBIs either missing or removed in editing were excluded from analysis. Results of the 5-minute segments were averaged into hourly values to match the resolution of the environmental data sets. Local HRV data timestamps were converted to UTC and synchronized with the environmental data sets. Space weather and environmental measures were obtained from three sources, comprising nine measures. The solar wind speed, Kp index, Ap index, number of sunspots, F10.7 index, and the geomagnetic polar cap index (PCN) were downloaded from NASA Goddard Space Flight Center’s Space Physics Data Facility as part of the Omni 2 data set. Cosmic ray counts were downloaded from Finland’s University of Oulu’s Sodankyla Geophysical Observatory’s website. Power in the time varying magnetic field in two frequency bands, Schumann Resonance Power (SRP), 3.5 to 36 Hz and ULF power, 2 mHz to 3.5 Hz were obtained from a recording site located in Boulder Creek, California. A network of highly sensitive induction coil magnetometers (Zonge ANT-4; sensitivity 10-12 T) as part of a special project called the Global Coherence Initiative were utilized. Each site includes two magnetometers positioned in the north-south and east-west axis to detect local time varying magnetic field strengths over a relatively wide frequency range (0.001–50 Hz) while maintaining a flat frequency response. The data acquisition infrastructure collects and timestamps all data using GPS time signals before uploading to a common server. Each magnetometer is continuously sampled at a rate of 130 Hz. This study provides strong empirical evidence that human heart rate variability (HRV), a key psychophysiological measure reflecting autonomic nervous system dynamics, is significantly affected by fluctuations in the solar and geomagnetic environment. These findings serve as a core scientific basis for the HBRF theory’s proposal that consciousness arises from a resonance between intrinsic cardiac rhythms and the Earth’s energetic environment. Increases in cosmic rays, solar radio flux, and Schumann Resonance power were positively correlated with increases in HRV (particularly in VLF, LF, and HF bands), indicating enhanced parasympathetic activity and physiological coherence. Environmental and HRV correlates and corresponding significance calculations were completed (table 1 and table 2 are showing environmental as well as HRV correlates, respectively).
Figure 14. This diagram illustrates the mechanism by which high-frequency piano vibrations (e.g., 440–880 Hz) interface with the heart’s electromagnetic field via low-frequency amplitude modulation. While piano tones vibrate in the auditory range, the mechanical energy they produce decays and fluctuates in amplitude envelopes that can cycle at 0.1 Hz—the primary frequency associated with heart rate variability (HRV) coherence and optimal psychophysiological states.
Through somatosensory and fascial pathways, these low-frequency envelopes are detected by mechanoreceptors and transduced into signals compatible with the cardiac field. The heart, acting as a coherent oscillator, resonates not with the pitch but with the modulation frequency, enabling coupling via amplitude-modulated sidebands (a known principle in Fourier-transform physics).
This cross-frequency coupling mechanism underlies how Beethoven, in the absence of hearing, could entrain his coherent heart field to tactile vibratory patterns, accessing structured musical constructs through non-auditory pathways. The process enables cardiac-driven consciousness modulation, central to the Alabdulgader Heart-Based Resonant Field (HBRF) Theory.
8.7 Neurocardiology Mechanism of Beethoven’s Deaf Composition: A Heart-Based Resonant Field Perspective
8.7.1 The Afferent Power of the Vagus Nerve in Beethoven’s Ninth Symphony
The field of neurocardiology, once viewed as peripheral in models of cognition, is increasingly recognized for its central role in modulating human awareness and creative capacity. Andrew Armour championed the neurocardiology science in the 1990s. In addition, the HeartMath Institute research create corner stone in the time line history of neurocardiology. Alabdulgader Heart-Based Resonant Field (HBRF) Theory positing the heart as a resonant, field generating cognitive structure expand the scientific field of neurocardiology.
Applied to the extraordinary case of Beethoven composing the Ninth Symphony in complete deafness, the neurocardiological lens based on the HBRF theory reveals a rich, alternative mechanism, one grounded in neural heart coupling, electrophysiological synchrony, and bioaffective resonance. The Intrinsic Cardiac Nervous System (ICNS), or “heart brain,” consists of an extensive neuronal network capable of processing information, learning, and memory functions traditionally reserved for the central nervous system (CNS).
These neurons form part of the cardiac nervous system, modulating cardiac output and providing continuous afferent input to the nucleus tractus solitarius, amygdala, and prefrontal cortex (figure 10). In Beethoven’s case, this semi autonomous network may have encoded non auditory stimuli, tactile feedback, rhythmic entrainment, and vibrational harmonics into affective neural signals, bypassing impaired auditory circuits.
Contrary to its name—derived from the Latin vagus, meaning “wandering” or of uncertain function—the vagus nerve (cranial nerve X) is now recognized as a major afferent information highway rather than merely a parasympathetic efferent conduit as traditionally taught in medical education. Remarkably, 85–90% of the fibers within the vagus nerve are afferent, transmitting sensory information from the heart, lungs, and viscera to the brain.
These cardiovascular-related afferent signals play a profound role in modulating consciousness, emotional states, and cognitive functions. They reach a broad network of brain structures including the thalamus, hypothalamus, amygdala, and brainstem nuclei, contributing to an integrated system of interoceptive awareness and emotional processing.
delivering continuous streams of complex data—mechanical, chemical, and electrophysiological, over time scales from milliseconds to minutes. Vagal afferent nerve stimulation (VNS) has emerged as a powerful tool in neuromodulation. By amplifying afferent traffic to thalamic and spinal structures, VNS has been shown to inhibit pain pathways and alleviate conditions such as migraine, cluster headaches, and chronic pain, while also enhancing cognitive processing and memory consolidation.
Clinically, VNS is ushering in a new era of psychophysiological therapeutics, demonstrating efficacy in disorders ranging from epilepsy, depression, anxiety, and autism spectrum disorders, to addiction, multiple sclerosis, and traumatic brain injury. In the context of cardiac coherence training, increased vagal afferent signaling promotes synchronization between the heart and brain, enhancing cortical and subcortical integration, including involvement of the Consciousness Network (CCN).
This noninvasive intervention has demonstrated the ability to recalibrate neural setpoints and optimize psychophysiological resilience and conscious experience over time. Perhaps most strikingly, vagal nerve stimulation holds promise for the recovery of consciousness in patients with disorders of consciousness.
Recent studies have shown that VNS can enhance behavioral responsiveness, strengthen thalamocortical connectivity, and elevate global brain metabolism, as measured by improvements in the Coma Recovery Scale-Revised (CRS-R). Mechanistically, vagal afferents project to key consciousness-related nuclei via the nucleus tractus solitarius (NTS), including the reticular formation, amygdala, thalamus, hippocampus, raphe nuclei, and locus coeruleus.
VNS-induced neurostimulation leads to widespread cortical activation, improved integration of long-range white matter tracts (notably corticocortical and thalamocortical pathways), and dominant theta activity in the right inferior parietal and parieto-temporal junction—regions essential for conscious awareness.
Given these profound systemic effects, it has become increasingly evident that the so-called “vagal” nerve is anything but vague in its emerging role in modulating consciousness. In light of its robust afferent functionality and its emerging role in modulating consciousness, the vagus nerve is never truly “vagal.”
This substitution mechanism may have bypassed the conventional auditory feedback loop through interoceptive patterning, wherein the afferent vagal signals encoded tactile musical experience and projected them onto higher-order cognitive regions. Such somatovisceral encoding is capable of stimulating affective centers such as the amygdala and hippocampus, while synchronizing prefrontal circuits responsible for temporal patterning and executive function.
In this way, the vagus nerve acted not only as a conduit of emotional embodiment but as a neuroaffective scaffold for internal musical perception, enabling Beethoven to structure, refine, and emotionally inhabit complex musical architecture despite complete auditory deprivation.
8.7.2 Cardiac Evoked Potentials and Cortical Modulation: An HBRF Perspective
Heartbeat-Evoked Potentials (HEPs) are, as discussed above, time-locked cortical responses to the cardiac cycle, strongly associated with interoceptive awareness, affective modulation, and the regulation of conscious self-experience.
EEG and MEG studies have consistently identified HEPs in regions such as the medial prefrontal cortex, anterior insula, and posterior cingulate cortex—areas deeply involved in self-referential cognition, emotional integration, and executive function.
These findings are especially significant in the context of the Alabdulgader Heart-Based Resonant Field (HBRF) Theory, which posits that the heart is not merely a mechanical pump, but a resonant bioelectromagnetic structure that plays an active role in shaping consciousness and creative cognition.
Within the HBRF framework, HEPs are interpreted not just as passive cortical reactions to visceral input, but as evidence of a dynamic heart-brain field interaction that underlies the rhythmic architecture of awareness itself.
The timing, amplitude, and coherence of HEPs, in this view, reflect the entrainment between cardiac-generated resonant fields and cortical oscillatory networks. These interactions are not unidirectional; rather, they form a bidirectional resonance loop in which the heart initiates field-based cues that modulate neuronal synchrony, while the brain, in turn, adjusts systemic rhythms through descending autonomic pathways.
In the extraordinary case of Beethoven, composing the Ninth Symphony in total deafness, this neurocardiointerface takes on a pivotal role. Deprived of auditory input, Beethoven’s brain would have increasingly relied on interoceptive signals—especially the fine timing of cardiac cycles and respiratory rhythms—as internal scaffolding for musical structuring.
This substitution is not merely functional; it reflects a deeper field-based resonance mechanism in which the emotional, temporal, and harmonic content of music is internally simulated through the rhythmic encoding of the body’s own bioelectromagnetic patterns.
Under HBRF theory, the cardiac field acts as a carrier of affective and temporal information that modulates cortical phase synchronization, particularly in the theta and alpha frequency bands implicated in both musical processing and deep states of awareness.
This entrainment enables the construction of internal musical architecture through embodied perception, with HEPs serving as the real-time correlates of these integrative processes.
The regions activated by HEPs—the medial prefrontal cortex, anterior insula, and posterior cingulate—overlap substantially with the Default Mode Network (DMN), known for its role in introspective thought, creativity, and self-awareness.
The HBRF theory suggests that in Beethoven’s internally driven compositional states, the coherent interaction between cardiac fields and the DMN may have produced moments of heightened “heart-brain coherence,” facilitating not only the flow of musical creativity but its emotional depth and philosophical grandeur.
Thus, from an HBRF perspective, cardiac-evoked potentials represent a measurable interface through which the resonant field of the heart engages with cortical systems, sustaining a form of internalized sensory consciousness that is not only compensatory, but potentially superior in emotional richness.
Beethoven’s Ninth Symphony, emerging from such a deeply entrained interoceptive space, may thus be viewed not merely as a triumph over sensory loss, but as a direct manifestation of the heart’s resonant creative field—a symphony literally felt and transmitted from the inside out.
The HEP is seen as part of a complex neurocardiac system creating Substitution for Beethoven Sensory Auditory Loops.
Conclusion:
This manuscript redefines the scientific boundaries of consciousness by presenting the Alabdulgader Heart-Based Resonant Field (HBRF) Theory as a transformative framework, capable of addressing long-standing epistemological and empirical anomalies—foremost among them, the mystery of Beethoven’s Ninth Symphony composed in a state of total deafness.
By situating the heart not only as a physiological pump but as a quantum-coherent, field-emitting organ of perception, intuition, and creativity, the HBRF Theory establishes a biologically grounded and experimentally validated model of consciousness that transcends neurocentric reductionism.
Through integration of long-term HRV-geomagnetic studies, neurocardiology, interoception science, and resonance-based field theory, the HBRF model provides a unique and testable mechanism for understanding how high-order creative cognition can arise in the absence of conventional sensory input.
This manuscript demonstrates that Beethoven’s compositional genius may be understood not through cortical compensation or memory recall, but as the result of coherent heart-field resonance with a nonlocal quantum information substrate. Here, creativity is revealed not as a byproduct of cerebral computation, but as a transduced, field-mediated expression of universal informational structure accessed through emotional and spiritual coherence.
The comparative analysis further clarifies the limitations of dominant non-reductionist theories, such as Orch OR and Bohm’s Implicate Order which, while conceptually rich, lack physiological operational core. In contrast, the HBRF Theory offers an anatomically explicit, biophysically measurable, and spiritually integrated pathway for consciousness emergence, anchored in the heart and its interactions with cosmic and geomagnetic fields.
Beethoven’s Ninth Symphony thus emerges not merely as a musical artifact but as empirical validation of a field-based, heart-centered model of consciousness. This reconceptualization holds revolutionary implications not only for cognitive neuroscience and the philosophy of mind but also for therapeutic innovation in cardiology, psychology, and electromagnetic medicine.
By restoring the heart to its rightful epistemological centrality, the HBRF Theory bridges ancient wisdom with modern science and offers a unified, coherent framework through which the mysteries of consciousness, creativity, and human transcendence may finally be understood.
Horizons and Future Directions
The Alabdulgader Heart-Based Resonant Field (HBRF) Theory of Consciousness presents robust and pioneering framework supported by data from MCG, EEG, and HRV coherence studies. Far from being restricted by methodological barriers, the ongoing journey of this theory highlights the natural challenges and opportunities that accompany any groundbreaking scientific paradigm.
The causal correlation between bioelectromagnetism and human disease is now firmly established; the next frontier lies in refining the direct measurement and manipulation of subquantum cardiac consciousness fields. Importantly, the discussion of Functional MRI (fMRI) in relation to HBRF theory should be viewed as reinforcement of the theory rather than a challenge to it.
While fMRI lacks the temporal resolution to capture the immediacy of neuronal and cardiac field interactions, modalities such as MEG and EEG, which are central to HBRF investigations, align precisely with the rapid bioelectromagnetic dynamics of the heart. Unlike fMRI’s several-second lag, MEG and EEG provide near-instantaneous tracking of neuronal firing, yielding real-time electrophysiological evidence directly supportive of the HBRF model.
Equally promising is the development of standardized protocols that integrate cardiac electromagnetic measurements with indicators of nonlocal consciousness. While these methods are in their infancy, their novelty reflects the very essence of pioneering science.
Emerging technologies such as stem-cell cardiomyocyte interferometry, employing laser-based quantum-optical interferometric techniques, open new horizons for detecting subtle electromagnetic or quantum fluctuations in living heart cells. Magnetocardiographic mapping further complements these directions, offering pathways to validate the quantum and resonant dimensions proposed by the HBRF Theory.
As envisioned in the HBRF model, such advancements hold the potential to confirm the heart’s role as a bio-quantum transducer, interfacing with universal fields of consciousness. Rather than posing constraints, these frontiers highlight the transformative capacity of the theory to shape a new era of consciousness research.
The HBRF framework thus stands not only as a biologically and philosophically compelling model but also as a catalyst for unprecedented experimental innovation heralding a paradigm shift in our understanding of human awareness far beyond cortical computation.
At the heart of this manuscript lies a transformative achievement: the Alabdulgader Heart-Based Resonant Field (HBRF) Theory of Consciousness offers the first biologically and quantum-physically plausible explanation for Ludwig van Beethoven’s creation of the Ninth Symphony while profoundly deaf.
Existing neuroscience consistently failed to account for how such an unprecedented auditory and emotional architecture could emerge in the total absence of hearing. By reframing the heart as a resonant, quantum-sensitive transducer of nonlocal information fields, the HBRF Theory elucidates how Beethoven accessed, organized, and expressed musical archetypes directly through coherent cardiac fields and interoceptive pathways.
This interpretation elevates the Ninth Symphony from a mysterious anomaly to the most compelling empirical demonstration of heart-centered consciousness in human history. Thus, the Ninth Symphony is not only a cultural triumph but also the definitive case study validating the HBRF model as the first theory capable of resolving a 200-year-old enigma of human genius.
AI Statement
During the preparation of this work the author used [GPT 4 Plus] in order to [double check information, improve readability and rearrange references]. After using this service, the author reviewed and edited the content as needed and take full responsibility for the content of the publication.
References
2. Zeki S. Artistic creativity and the brain. Science. 2001;293(5527):51-52.
3. Zatorre RJ, Chen JL, Penhune VB. When the brain plays music: auditory–motor interactions in music perception and production. Nat Rev Neurosci. 2007;8(7):547-558.
4. Kosslyn SM, Miller GA. Unification through division: a call for integrated cognitive neuroscience. Trends Cogn Sci. 2013;17(5):251-252.
5. Tononi G, Koch C. Consciousness: here, there and everywhere? Philos Trans R Soc Lond B Biol Sci. 2015;370(1668):20140167.
6. Seth AK, Bayne T. Theories of consciousness. Nat Rev Neurosci. 2022;23(7):439-452.
7. Al Abdulgader AA. Quantum consciousness and the heart based resonant frequencies theory. Arch Neurol Neurosci. 2021;9(4). doi:10.33552/ANN.2021.09.000719
8. McCraty R, Atkinson M, Tomasino D, Bradley RT. The coherent heart: heart-brain interactions, psychophysiological coherence, and the emergence of system-wide order. Integral Rev. 2009;5(2):10-115.
9. Alabdulgader A. The Grand Revolutionary Renaissance of Human Consciousness. Forthcoming book.
10. Penfield W, Rasmussen T. The Cerebral Cortex of Man: A Clinical Study of Localization of Function. Macmillan; 1950.
11. Penfield W. The Mystery of the Mind: A Critical Study of Consciousness and the Human Brain. Princeton University Press; 1975.
12. McCraty R, Zayas MA. Cardiac coherence, self-regulation, autonomic stability, and psychosocial well-being. Front Psychol. 2014;5:1090.
13. McCraty R, Atkinson M, Telksnienė I, Joffe R, Vainoras A, Alabdulgader A, et al. The influence of heart coherence on synchronization between human heart rate variability and geomagnetic activity. J Complexity Health Sci. 2018;1(2):42-48.
14. DeFelipe J. Santiago Ramón y Cajal and the Croonian Lecture, March 1894: the birth of modern neuroscience. Trends Neurosci. 2006;29(10):555-560.
15. Alabdulgader A, McCraty R, Atkinson M, et al. Long-term study of heart rate variability responses to changes in the solar and geomagnetic environment. Sci Rep. 2018;8:2663.
16. McCraty R, Shaffer F. Heart rate variability: new perspectives on physiological mechanisms, assessment of self-regulatory capacity, and health risk. Glob Adv Health Med. 2015;4:46-61.
17. McCraty R, Zayas M. Cardiac coherence, self-regulation, autonomic stability, and psychosocial well-being. Front Psychol. 2014;5:1-13.
18. Ginsberg JP, Berry ME, Powell DA. Cardiac coherence and PTSD in combat veterans. Altern Ther Health Med. 2010;16:52-60.
19. Thayer JF, Hansen AL, Saus-Rose E, Johnsen BH. Heart rate variability, prefrontal neural function, and cognitive performance: the neurovisceral integration perspective. Ann Behav Med. 2009;37:141-153.
20. McCraty R, Childre D. Coherence: bridging personal, social, and global health. Glob Adv Health Med. 2010;2(1):28-46.
21. Persinger MA. Brain electromagnetic activity and lightning: potentially congruent scale-invariant quantitative properties of global information systems. Front Integr Neurosci. 2014;8:84.
22. Alabdulgader A. Editorial: geomagnetic cardiology and the spherical Earth: mechanistic paradigm shift with new therapeutic horizons. I J Cardio Card Diso. 2025;6(4):1-3. doi:10.47485/2998-4513.1048
23. McCraty R, Atkinson M, Stolc V, Alabdulgader AA, Vainoras A, Ragulskis M. Synchronization of human autonomic nervous system rhythms with geomagnetic activity. Int J Environ Res Public Health. 2017;14(7):770.
24. Alabdulgader A. Alabdulgader heart based resonant field theory of consciousness. Eur J Appl Sci. 2025;13(2):343-367. doi:10.14738/aivp.132.18585
25. Pylkkänen P. Bohm’s interpretation of quantum theory and the notion of consciousness. J Conscious Stud. 2001;8(11):51-67.
26. Hameroff S, Penrose R. Consciousness in the universe: a review of the ‘Orch OR’ theory. Phys Life Rev. 2014;11(1):39-78.
27. Russek LG, Schwartz GE. Energy cardiology: a dynamical energy systems approach. Adv Mind Body Health. 1996;12(4):4-24.
28. Levin R. The healing field: energy, consciousness, and transformation. J Conscious Stud. 2011;18(2):59-84.
29. Koelsch S. Brain correlates of music-evoked emotions. Nat Rev Neurosci. 2014;15:170-180.
30. Burgos RCR, van Wijk EPA, van Wijk R, He M, van der Greef J. Integrating ultra-weak photon emissions with metabolomics. Front Physiol. 2016;7:611.
31. Alabdulgader AA. Human consciousness: the universal heart based resonant frequencies. Arch Neurol Neurosci. 2020;9(2). doi:10.33552/ANN.2020.09.000709
32. Armour JA, Kember GC. Cardiac sensory neurons. In: Armour JA, Ardell JL, eds. Basic and Clinical Neurocardiology. Oxford University Press; 2004:79-117.
33. Goff P. Galileo’s Error: Foundations for a New Science of Consciousness. Pantheon Books; 2019.
34. Strawson G. Realistic monism: why physicalism entails panpsychism. J Conscious Stud. 2006;13(10):3-31.
35. Al Abdulgader A. Human consciousness: the role of cerebral and cerebellar cortex, vagal afferents, and beyond. In: Cerebral and Cerebellar Cortex Interaction and Dynamics in Health and Disease. IntechOpen; 2021. doi:10.5772/intechopen.95040
36. McCraty R. Science of the Heart. Vol 2. HeartMath Institute; 2015.
37. Thayer JF, Åhs F, Fredrikson M, Sollers JJ 3rd, Wager TD. A meta-analysis of heart rate variability and neuroimaging studies. Neurosci Biobehav Rev. 2012;36(2):747-756.
38. Fenici R, Brisinda D. Magnetocardiography and cardiac electrophysiology. Int J Cardiovasc Imaging. 2006;22(3-4):595-597.
39. Alabdulgader A, et al. Human heart rhythm sensitivity to magnetic field fluctuations. J Vibroengineering. 2015;17(6):3271-3278.
40. Pollatos O, Kirsch W, Schandry R. Brain structures mediating interoceptive awareness. Hum Brain Mapp. 2005;26(1):54-64.
41. Tanaka Y, Ito Y, Shibata M, et al. Heartbeat-evoked potentials and interoceptive awareness. Sci Rep. 2025;15:8072.
42. Nelson RD. Event-related responses in the Global Consciousness Project. J Sci Explor. 2020;34(2):246-267.
43. Aldosky HYY, Bari DS. Could electrodermal activity detect emotions soon? J Electr Bioimpedance. 2025;16(1):1-3.
44. Schindler A. Biographie von Ludwig van Beethoven. Aschendorff; 1840.
45. Merwin WS. Beethoven: His Life, Work and World. Thames & Hudson; 1997.
46. Lomber SG, Meredith MA, Kral A. Cross-modal plasticity in deaf auditory cortex. Nat Neurosci. 2010;13(11):1421-1427.
47. Levänen S, Jousmäki V, Hari R. Vibration-induced auditory-cortex activation. Curr Biol. 1998;8(15):869-872.
48. McAdams S. Timbre as a structuring force in music. In: Siedenburg K, ed. Timbre: Acoustics, Perception, and Cognition. Springer; 2019:179-198.
49. Kent RD. The feel of speech: multisystem and polymodal somatosensation in speech production. J Speech Lang Hear Res. 2024;67(5):1424-1460. doi:10.1044/2024_JSLHR-23-00575
50. Russo FA, Ammirante P, Fels DI. Vibrotactile perception of music. J Acoust Soc Am. 2024;155(3 Suppl):A217.
51. Sugimoto Y, Kiyono K, Yoshino K. Analysis of the relationship between amplitude modulation of low frequency heart rate variability and blood pressure variability. Adv Biomed Eng. 2019;8:78-84.
52. Lehrer PM, Vaschillo E, Vaschillo B. Resonant frequency biofeedback training to increase cardiac variability: rationale and manual for training. Appl Psychophysiol Biofeedback. 2000;25(3):177-191.
53. Armour JA, Ardell JL, eds. Basic and Clinical Neurocardiology. Oxford University Press; 2004.
54. Berntson GG, et al. Cardiac psychophysiology and autonomic space. Psychol Bull. 1993;114(2):296-322.
55. Thayer JF, Lane RD. A model of neurovisceral integration in emotion regulation and dysregulation. J Affect Disord. 2000;61(3):201-216.
56. Cameron OG. Visceral Sensory Neuroscience: Interoception. Oxford University Press; 2002.
57. Hassert DL, Miyashita T, Williams CL. The effects of vagal nerve stimulation on norepinephrine output. Behav Neurosci. 2004;118(1):79-88.
58. Kosel M, Schlaepfer TE. Beyond epilepsy: new applications of vagus nerve stimulation in psychiatry. CNS Spectr. 2003;8:515-521.
59. Groves DA, Brown VJ. Vagal nerve stimulation: a review of its mechanisms and applications. Neurosci Biobehav Rev. 2005;29:493-500.
60. Tiller WA, McCraty R, Atkinson M. Cardiac coherence: a new, noninvasive measure of autonomic nervous system order. Altern Ther Health Med. 1996;2:52-65.
61. Alabdulgader A. The heart as a macroscopic coherence generator: a quantum biological theory of living awareness and the impossibility of artificial consciousness: heart based quantum biophysical consciousness model. Med Res Arch. 2026;14(1).