Wheat2School: Enhancing Whole Grain Knowledge in Youth
Wheat2School: a mixed-methods evaluation of a school-based whole grain program and its effects on knowledge, attitudes, and cafeteria acceptance among Hispanic/Latino fifth graders
Claudia E. Carter, M.S1,2. and Julie Garden-Robinson, Ph.D.1
- North Dakota State University
- California Wheat Commission
OPEN ACCESS
PUBLISHED 31 October 2025
CITATION: Carter, C.E. and Garden-Robinson, J., 2025. Wheat2School: a mixed-methods evaluation of a school-based whole grain program and its effects on knowledge, attitudes, and cafeteria acceptance among Hispanic/Latino fifth graders. Medical Research Archives, [online] 13(10). https://doi.org/10.18103/mra.v13i9.6996
COPYRIGHT: © 2025 European Society of Medicine. This is an open-access article distributed under the terms of the Creative Commons Attribution License, which permits unrestricted use, distribution, and reproduction in any medium, provided the original author and source are credited.
DOI :https://doi.org/10.18103/mra.v13i9.6996
ISSN 2375-1924
ABSTRACT
Whole grain intake among children from the U.S. remains well below recommendations, with Hispanic/Latino youth consuming particularly few whole grains despite their cultural importance. School-based, culturally tailored, experiential programs may help close this gap.
Objectives: To evaluate the effectiveness of Wheat2School® on students agricultural, food processing, and nutrition knowledge, attitudes, and observable behaviors toward whole grains among Hispanic/Latino elementary students, and to explore adult perspectives on cultural adaptation, engagement, and program sustainability.
Design, Setting, and Participants: A mixed-methods evaluation (2022-2025) was conducted in three California (U.S.) public school districts with 123 fifth-grade students (71% Hispanic/Latino) and five adult implementors. Students completed pre- and post-intervention surveys; 32 completed a 12-month follow-up. Qualitative data included adult interviews and cafeteria-based taste testing.
Intervention: The 9-month Wheat2School® program engaged students in planting, harvesting, milling, and preparing whole grain foods that were both culturally relevant, such as tortillas, and familiar, child-appealing options like pizza. These activities were supported by 14 lessons taught in English or Spanish depending on the classroom guided by Social Cognitive and Experiential Learning theories.
Main Outcomes and Measures: Primary outcomes were changes in agricultural, food processing, and nutrition knowledge, and attitudes toward whole grain foods. Secondary outcomes included demographic predictors, retention at 12-month follow-up, observational cafeteria taste test ratings, and qualitative themes related to student emotions, behaviors, and sustainability.
Results: Students showed significant gains in agricultural knowledge (+2.8 points), food processing (+1.4), and nutrition (+0.6) (all p < .001). Based on Cohen’s d benchmarks, the agricultural knowledge gain reflected a large effect size, while the food processing and nutrition knowledge gains reflected medium effect sizes. Agriculture and nutrition knowledge were sustained at 12 months, while food processing partially declined. Attitudes improved at post-test (44% to 57%, p = .021) but not at follow-up. In qualitative assessments, adults described students’ joy, pride, and cultural familiarity (e.g., tortillas) as drivers of acceptance, with cafeteria taste testing confirming feasibility. Some families adopted whole wheat flour at home. Sustainability was supported by leadership but challenged by reliance on individual champions.
Conclusions and Relevance: Wheat2School® demonstrated that culturally adapted, experiential interventions can significantly improve whole grain knowledge, foster short-term attitude change, and extend influence on families. Embedding culturally familiar foods, bilingual delivery, and food service integration strengthens dietary equity and supports long-term health.
Keywords:
whole grains; nutrition education; Hispanic/Latino youth; school-based intervention; experiential learning; cultural adaptation; garden-based learning; food service integration
THE EUROPEAN SOCIETY OF MEDICINE
Medical Research Archives, Volume 13 Issue 10
RESEARCH ARTICLE
Introduction
Whole grain consumption among United States (U.S.) children falls dramatically short of dietary recommendations, with Hispanic/Latino youth consuming particularly few whole grains despite the cultural centrality of grain-based foods. For fifth-grade students (ages 10-11 years), the Dietary Guidelines for Americans (DGA) recommend 5-9 ounce-equivalents of total grains daily, of which 3-4½ ounce-equivalents should be whole grains for boys and 2½-3½ ounce-equivalents for girls. This corresponds to roughly 48 g/day of whole-grain ingredients (3 servings). Yet in the U.S., only about 2.9% of children and adolescents meet these intake levels, with average consumption closer to one serving or less per day and even lower among low-income populations.
International guidance often emphasizes dietary fiber targets rather than explicit whole-grain gram equivalents; for example, the European Food Safety Authority (2010) set dietary reference values for carbohydrates and fiber, and the World Health Organization (2023) recommends conditional fiber targets of 15 g/day (ages 2-5), 21 g/day (ages 6-9), and 25 g/day (ages 10), emphasizing that carbohydrates should come primarily from whole grains, vegetables, fruits, and pulses. Despite these benchmarks, actual whole-grain intakes remain well below recommendations across most countries, highlighting a global nutrition gap.
Currently, approximately one in five U.S. children has obesity, with prevalence disproportionately higher among Hispanic/Latino youth. Hispanic/Latino children face increased risks for diet-related chronic diseases, including obesity and type 2 diabetes. These health disparities are closely tied to dietary patterns characterized by excess refined grain intake and insufficient whole grain consumption, as documented in national surveillance data and the 2025 Dietary Guidelines Advisory Committee report. Traditional Hispanic/Latino foods such as tortillas and breads are often prepared with refined flour, missing opportunities to incorporate whole grains into culturally preferred foods.
These disparities are not only the result of individual choice but are shaped by structural factors, including the affordability and availability of whole grain products, procurement norms in school food service, and the predominance of refined flour in culturally familiar foods. School meals provide an important opportunity to reduce barriers by ensuring that all children regardless of household income have equitable access to healthier versions of the foods they regularly consume. Embedding whole grains into school nutrition programs not only addresses equity gaps in access and affordability but also provides a scalable pathway for expanding culturally relevant, health-promoting grain-based foods across diverse districts.
Beyond the meal setting, school-based education provides an effective avenue for teaching children about healthy foods. School-based nutrition programs are most successful when they integrate experiential learning and cultural adaptation. Prior studies demonstrate that bilingual, culturally tailored interventions outperform generic approaches in Hispanic/Latino populations. Hands-on strategies such as gardening and cooking have been shown to improve nutrition knowledge and foster acceptance of new foods. However, most garden-based interventions emphasize fruits and vegetables, with little attention to whole grains.
Fifth grade represents a strategic window for intervention, as children are beginning to understand abstract concepts like nutrition and health while also becoming more influenced by peers and forming independent food preferences before the transition to middle school. Classroom and cafeteria experiences are therefore especially powerful in shaping lasting dietary habits. Evidence shows that early and repeated exposure to healthy foods increases acceptance and the likelihood of continued consumption later in life, underscoring the importance of introducing whole grains during this developmental stage.
The Wheat2School® program was developed to address these gaps and reduce barriers by engaging fifth-grade students in planting, harvesting, milling, and cooking whole wheat. Grounded in Social Cognitive Theory, which emphasizes peer modeling, observational learning, and reinforcement, and Experiential Learning Theory, which highlights hands-on practice and reflection, the program connected agricultural education with nutrition science and culturally relevant food preparation. Emphasis on familiar foods such as tortillas and pizzas allowed students to experience whole grains in ways aligned with cultural preferences, while bilingual instruction linked classroom lessons with cafeteria adoption and home engagement.
In addition to Social Cognitive Theory and Experiential Learning Theory, the program was informed by Communities of Practice, which highlights collaborative learning among teachers, food service staff, and families; Transformative Learning Theory, which addresses shifts in adult perspectives about whole grains; and Ecological Systems Theory, which situates dietary change within overlapping home, school, and community systems. Together, these frameworks emphasize why a mixed-methods approach was essential for capturing both student outcomes and contextual influences.
This mixed-methods study evaluated the impact of Wheat2School® on students’ agricultural, food processing, and nutrition knowledge, as well as their attitudes and observable behaviors toward whole grains. It also explored adult perspectives on cultural adaptation, engagement, and program sustainability. To our knowledge, Wheat2School® represents the first U.S. intervention to embed wheat—an everyday staple crop—into a school garden-based curriculum that is both bilingual and culturally adapted for Hispanic/Latino students. By bridging agricultural education, nutrition science, and food service integration, the program not only engages students directly but also extends influence into cafeterias and homes. This system-oriented design positions Wheat2School® as a novel model for sustainable whole grain promotion in schools.
Methods
STUDY OBJECTIVES
This study aimed to evaluate the effectiveness and sustainability of the Wheat2School® program, a culturally adapted, school-based whole grain intervention. Specific objectives were to:
- Quantitative (student outcomes):
- Assess immediate changes in students’ agricultural, food processing, and nutrition knowledge, as well as attitudes toward whole grain foods, following program participation.
- Examine long-term retention of knowledge and attitudes at 12-month follow-up.
- Identify demographic and linguistic factors associated with program outcomes.
- Qualitative (adult implementor perspectives and cafeteria context):
- Explore how teachers, food service staff, and garden coordinators perceived student behaviors, emotional responses, and cultural engagement with whole grain foods.
- Document cafeteria-based taste testing (dot-sticker acceptance) as evidence of feasibility and student preference.
- Identify barriers and facilitators to program delivery, with emphasis on sustainability and institutional integration.
- Mixed-methods integration:
- Triangulate quantitative and qualitative findings to determine how experiential, culturally responsive approaches influence both short- and long-term outcomes in whole grain education.
STUDY DESIGN AND FRAMEWORKS
This mixed-methods evaluation assessed the effectiveness of Wheat2School®, a 9-month garden-based nutrition education program, in improving students’ knowledge and attitudes toward whole grains and in identifying factors that influence program sustainability. Both quantitative and qualitative approaches were used to evaluate program impact and implementation. The design combined:
- Quantitative student surveys administered to students at baseline (pre-test), immediately after the intervention (post-test), and 12 months later (follow-up, subset only). The study was guided by Social Cognitive Theory, which emphasizes observational learning, reinforcement, and self-efficacy, and Experiential Learning Theory, which describes hands-on cycles of planting, milling, and cooking foster durable learning.
- Qualitative stakeholder interviews with adult stakeholders (teachers, food service staff, and garden coordinators) to explore program implementation, contextual influences, and sustainability. The study was informed by Communities of Practice, Transformative Learning Theory, and Ecological Systems Theory. A logic model illustrating how program inputs, activities, and outcomes align with these frameworks is provided upon request.
PARTICIPANTS AND SETTING
The intervention was implemented in fifth-grade classrooms at one elementary school from each of three California public school districts during the 2022-2023 and 2023-2024 academic years. In the U.S., public schools are organized into administrative units called school districts, each overseeing several schools within a geographic area. Because Wheat2School® was designed as a fifth-grade intervention, only fifth-grade classrooms were eligible. One elementary school per district was included through the grant-funded project. The participating districts differed in size, socioeconomic composition, and setting:
- District 1 is a small rural district (253 students, 75.5% eligible for free or reduced-price meals).
- District 2 is a mid-sized rural district (641 students, 72%).
- District 3 is a large urban low-income district (9,483 students, 77%).
Accordingly, participation reflected district enrollment size and available fifth-grade classrooms rather than recruitment differences.
To be included in the analysis, students had to be enrolled in the program and provide matched pre-post survey responses; surveys with incomplete or unmatched responses were excluded. For the 12-month follow-up, a convenience subset of 32 students from one classroom was assessed. Although all participating teachers were invited, only one responded with availability, limiting follow-up data collection to that classroom. Findings from this subset should therefore be interpreted cautiously given the non-random sampling approach. Participation was conducted under an opt-out parental consent process with student assent, as approved by the North Dakota State University (NDSU) Institutional Review Board (IRB).
A formal a priori power analysis was not conducted given the practice-based nature of the evaluation and the inclusion of all eligible fifth-grade students across the three schools. The resulting sample (N = 123) was sufficient to detect medium-to-large effects in paired analyses and is consistent with sample sizes reported in prior school-based nutrition education studies. Schools were not randomized to intervention or control conditions because program partners requested delivery in all available schools, in line with administrative and equity considerations. Accordingly, a pre-post design was employed. Baseline equivalence across schools was assessed prior to pooling data. To address variability at baseline, school district, ethnicity, and survey language were included as fixed effects in generalized linear mixed models.

Most student participants identified as Hispanic/Latino (70.7%), with surveys completed in English (82.1%) and Spanish (17.9%). This bilingual and bicultural composition reflected the program’s target population. The qualitative sample included five adult stakeholders (teachers, food service staff, garden coordinators) directly involved in program delivery.
INTERVENTION
The Wheat2School® program spanned September through June, aligned with the wheat crop cycle, and incorporated four integrated components:
- Garden: planting, monitoring, soil testing, and harvesting wheat.
- Processing: milling harvested grain into whole wheat flour using school-based equipment.
- Culinary: preparing and tasting culturally relevant whole grain foods (e.g., tortillas, pizzas, waffles, muffins, pan dulce a Mexican bread roll).
- Educational: 14 standards-aligned lessons on wheat biology, nutrition, and food systems, delivered with bilingual (English/Spanish) materials.
Professional development, equipment support, and technical assistance were provided for teachers and food service staff. University interns and a school liaison supported delivery. The following figure provides a photographic overview of these components, illustrating how classroom, garden, and cafeteria experiences were integrated into a single program.

MEASURES
Instrument Development and Validation
A 34-item student survey was developed (available upon request from authors) in collaboration with the principal investigator and content experts, drawing on previously validated tools to ensure content validity and alignment with the Wheat2School® program’s learning objectives. Whole grain knowledge, attitudes, and practices items were adapted from the validated Knowledge, Attitudes, and Practices questionnaire on whole grains; agriculture-related questions from the Longhurst Murray Agricultural Literacy Instrument; and demographic items from the CDC Youth Risk Behavior Surveillance System. Additional items were created to address program-specific content areas. Expert reviewers in nutrition and education evaluated the draft for content validity and developmental appropriateness. The survey was pilot tested with a fifth-grade classroom at a nonparticipating school, and minor revisions were made based on student feedback. To ensure linguistic and cultural appropriateness, the final survey was translated into Spanish and reviewed by bilingual adults and children. The complete survey instrument, with English and Spanish versions, is available upon request from the author.
Survey Structure
The instrument included multiple-choice, true/false, matching, sequencing, and attitude-based items. Domain scores were calculated as shown in Table 2.

Adult Stakeholder Interviews
Semi-structured interviews were conducted with five stakeholders purposively sampled to capture diverse implementation perspectives. Participants provided informed consent, and the qualitative component was deemed exempt by the NDSU IRB. Virtual interviews were held via Zoom between March 2024 and March 2025, lasting 30-45 minutes each. An interview guide (available upon request) addressed stakeholder roles and motivations, perceived benefits and challenges, observed student behaviors, emotional responses, and sustainability considerations. All interviews were audio-recorded and transcribed, with transcripts reviewed for accuracy.
STATISTICAL ANALYSIS
Quantitative Analysis
Data were analyzed using JMP® Student Edition 18.2.0. Descriptive statistics included means, standard deviations, frequencies, and percentages. Normality was assessed using the Shapiro-Wilk test and visual inspection of histograms and Q-Q plots. For pre-post comparisons (N = 123), paired-sample t tests assessed changes in knowledge domains (agriculture, food processing, nutrition), and McNemar’s test evaluated changes in attitudes toward whole grains. Effect sizes were calculated using Cohen’s for continuous outcomes and odds ratios from logistic regression models for binary outcomes.
For longitudinal analysis (subset, n = 32), repeated measures ANOVA examined knowledge changes across three time points (pre-test, post-test, 12-month follow-up). Post hoc pairwise comparisons of least squares means were conducted with Tukey adjustment. Repeated measures logistic regression assessed attitude changes over time.
To examine demographic predictors and account for clustering of repeated measures, generalized linear mixed models (GLMMs) were estimated with student ID specified as a random intercept. Fixed effects included school district, Hispanic/Latino identity, survey language, gender, and race, with time (pre and post) and knowledge domain modeled in long format. This approach allowed simultaneous estimation of time effects and demographic covariates while accounting for within-student correlation. Baseline equivalence across schools was examined separately (see Participants and Setting), and covariates showing significant differences were retained in the GLMMs.
Effect sizes d criteria: small (d = 0.20), medium (d = 0.50), and large (d = 0.80). Statistical significance was set at P < .05. All analyses used complete case data (N = 123 for pre-post comparisons; n = 32 for longitudinal follow-up).
Qualitative Analysis
A reflexive thematic analysis was used to identify and interpret patterns across the dataset. Analysis proceeded through multiple iterative steps:
- Manual NVivo coding: The primary researcher conducted line-by-line coding of transcripts and field notes, generating inductive codes and analytic annotations.
- Field notes integration: Observational notes from program delivery and interviews were coded alongside transcripts to provide contextual depth.
- AI-assisted coding (ChatGPT): After manual coding was complete, a parallel round of coding was conducted using ChatGPT. ChatGPT generated an independent codebook and thematic map, which were not used to replace human analysis but served as an additional analytic lens.
- Triangulation and review: Themes from the NVivo analysis, field notes, and ChatGPT outputs were compared to identify areas of convergence and divergence. AI-assisted coding was incorporated strictly to enhance analytic rigor through triangulation, consistent with recent studies validating ChatGPT for inductive coding and demonstrating good inter-coder agreement, as well as the value of human-AI collaboration in qualitative analysis.
This triangulated approach enhanced credibility, dependability, and confirmability, ensuring that findings reflected multiple analytic perspectives and were not dependent on a single coding process. The final revised codebook, including parent and child codes with representative quotes, and the thematic framework linking qualitative themes to quantitative survey findings, are available from the author upon request.
Mixed-Methods Integration
Quantitative and qualitative findings were integrated during interpretation. Qualitative themes provided explanatory context for quantitative outcomes, particularly around knowledge retention, fragility of attitudinal change, and sustainability mechanisms.
ETHICAL CONSIDERATIONS
This study was approved by the NDSU IRB (Protocol #IRB0004497) and deemed exempt under federal regulations for educational research. Parental consent was obtained via an IRB-approved opt-out procedure, and student assent was obtained before participation. Adult interview participants provided written and verbal informed consent. All data were de-identified using numeric codes and securely stored.
Results
PARTICIPANT DEMOGRAPHICS
A total of 123 fifth-grade students from 3 school districts participated in the Wheat2School® intervention. The mean (SD) age was 10.3 (0.6) years. Most participants identified as Hispanic or Latino (70.7%). Race was reported as White (56.9%), mixed race (22.8%), American Indian or Alaska Native (11.4%), Black or African American (4.9%), Native Hawaiian or Other Pacific Islander (2.4%), and Asian (0.8%); one participant (0.8%) did not report a race. Gender distribution was balanced (49.6% boys, 47.9% girls), with 2.4% selecting prefer not to say. Most surveys were completed in English (82.1%), with 17.9% completed in Spanish.

Participation differed across districts (District 1: 11.4%; District 2: 17.1%; District 3: 71.5%), reflecting district enrollment size and design specifications (see Participants and Setting).
KNOWLEDGE OUTCOMES (Pre-Post, N = 123)
Paired-sample t tests indicated significant improvements across all domains:
- Agriculture knowledge increased from 13.42 (3.86) to 16.23 (3.27) (mean difference, 2.80; 95% CI, 2.16-3.45; t122 = 8.62; P < .001; Cohen’s d = 0.81, large).
- Food processing knowledge increased from 3.94 (1.97) to 5.33 (1.70) (mean difference, 1.38; 95% CI, 0.99-1.78; t122 = 6.91; P < .001; Cohen’s d = 0.63, medium).
- Nutrition knowledge increased from 1.50 (1.09) to 2.09 (1.06) (mean difference, 0.59; 95% CI, 0.35-0.82; t122 = 4.93; P < .001; Cohen’s d = 0.53, medium).
Paired-sample t tests demonstrated significant pre-post improvements across all knowledge domains. Generalized linear mixed models, which adjusted for baseline differences and within-student clustering, confirmed these gains while showing that demographic predictors (school district, ethnicity, and survey language) were not significant after adjustment.

ATTITUDES TOWARD WHOLE GRAINS (Pre-Post, N = 123)
McNemar’s test indicated a significant shift in reported liking of whole grains (χ²₁ = 5.29; P = .021). At baseline, 43.9% of participants reported liking whole grain foods compared with 56.9% at post-test. More students changed from No to Yes (n = 33) than from Yes to No (n = 17).

The odds of reporting favorable attitudes were nearly 2-fold higher after the intervention (odds ratio, 1.94; 95% CI, 1.09-3.45). To account for repeated measures and examine predictors simultaneously, a mixed general linear model was estimated with student ID as a random effect. Significant variance was attributable to within-student clustering (variance component = 0.056; P = .021). After adjustment, no demographic factors including Hispanic/Latino identity, survey language, or gender were significant predictors of attitudes (all P > .09). However, time effects were significant (β = 0.13; SE = 0.06; P = .023), indicating a modest but statistically reliable increase in favorable attitudes toward whole grains from pre-test to post-test.
DEMOGRAPHIC PREDICTORS OF OUTCOMES
Survey Language Effects
When examining outcomes by survey language, students who completed surveys in Spanish scored significantly higher on nutrition knowledge at both pre-test (Spanish: M = 2.14, SD = 1.17; English: M = 1.35, SD = 1.04; P < .001) and post-test (Spanish: M = 2.68, SD = 0.78; English: M = 1.96, SD = 1.09; P = .003). In contrast, no significant differences by survey language were observed for agricultural or food processing knowledge. Thus, survey language was associated with nutrition knowledge scores but no other knowledge domains.
Other Demographic Factors
No significant associations were found between knowledge or attitude outcomes and gender, Hispanic/Latino ethnicity, or school district (all P > .05).
GENERAL LINEAR MODEL ANALYSES
To account for repeated measures and examine predictors simultaneously, a mixed general linear model was estimated with student ID as a random effect. Significant variance was attributable to within-student clustering (variance component = 1.26, P < .001). After adjustment, Hispanic/Latino identity was a significant predictor of higher overall knowledge scores (β= 1.08; SE = 0.30; P= .0005). Survey language showed a marginal effect (β = 0.66; SE = 0.35; P = .060), while gender and race/ethnicity categories were nonsignificant (all P > .09). Time effects (pre to post) were highly significant across agriculture, food processing, and nutrition domains (all P < .001), with estimated marginal means confirming robust gains: agriculture knowledge increased from 13.32 to 16.13, food processing knowledge from 3.84 to 5.22, and nutrition knowledge from 1.40 to 1.99.
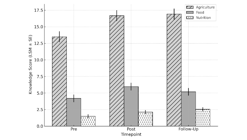
LONGITUDINAL RESULTS (Pre-Post Follow-up, n = 32)
Knowledge Retention
Repeated measures ANOVA indicated significant effects of time for all knowledge domains:
- Agriculture knowledge: F₂,₆₂ = 11.68; P < .001; partial η² = 0.27. Knowledge improved significantly from pre-test to post-test and was sustained at follow-up.
- Food processing knowledge: F₂,₆₂ = 6.04; P = .004; partial η² = 0.16. Knowledge improved significantly at post-test, declined somewhat at follow-up, but remained significantly above baseline (P < .05).
- Nutrition knowledge: F₂,₆₂ = 9.80; P = .0002; partial η² = 0.24. Scores improved significantly from pre-test to post-test and continued to increase at follow-up, with gains sustained at 12 months.
ATTITUDES ACROSS TIME (Pre-Post Follow-up, n = 32)
A repeated measures logistic regression indicated no significant effect of time on student attitudes (F₂,₈₅ = 0.81; P = .45). Estimated probabilities of a positive attitude were 48% at pre-test, 64% at post-test, and 48% at follow-up. Odds of a positive attitude did not differ significantly across time points (all P > .25).
In the full sample (N = 123), significant improvements were observed in agricultural, food processing, and nutrition knowledge from pre-test to post-test, with agricultural and nutrition knowledge retained at 12-month follow-up in the subset completing all assessments (N = 32). Food processing knowledge declined at follow-up but remained above baseline. Attitudes toward whole grain foods improved immediately post-intervention but were not sustained at follow-up. Demographic predictors were not significant, except for higher nutrition knowledge among students completing surveys in Spanish.


QUALITATIVE RESULTS
Analysis of adult stakeholder interviews (teacher, food service staff, and garden volunteer) identified three major themes: implementor motivation and identity, student experiences, attitudes and behaviors, and program sustainability and expansion.
The complete qualitative codebook and thematic framework, including parent and child codes with representative quotations, are provided upon request.
- Implementor motivation and identity: Adult participants reported strong motivation to engage students in whole grain and wheat education, often citing agricultural or food system identities, cultural traditions, and a desire to improve children’s nutrition. Motivation was reinforced by students’ curiosity and enthusiasm, which fostered implementors’ confidence over time. Collaborative practices including recipe testing, cafeteria integration, and classroom garden linkages were described as essential supports.
- Student experiences, attitudes, and behaviors: Adults consistently observed student curiosity, pride, and excitement during hands-on preparation and tasting activities. Emotional responses were prominent: students often moved from initial hesitation to joy, excitement, and pride once they tried the food. Peer influence was frequently cited as a driver of willingness to taste whole wheat products. Cultural familiarity also played a major role: tortillas, pizzas, and other foods that resonated with Hispanic/Latino students increased acceptance, while Spanish-language delivery supported stronger engagement. These qualitative insights paralleled survey findings: nutrition knowledge improved and was sustained at follow-up, while positive attitudes toward whole grain foods increased at post-test but were not maintained.
- Sustainability and expansion: Adults emphasized the need for leadership support, curricular integration, and alignment with food service operations to maintain program effects. Several food service directors described permanent changes in their own practices after tasting whole wheat products prepared from scratch, highlighting the potential for long-term institutional shifts. Infrastructure investments (pizza presses, waffle irons, recipe development) were identified as enablers of continued whole grain use. At the same time, concerns were raised about dependence on individual champions and the risks of turnover.

OBSERVATIONAL TASTE TESTING: CAFETERIA-BASED TASTE TESTING OF 100% WHOLE WHEAT PRODUCTS
During routine school meal service, the food service director in one participating district conducted sticker-dot taste testing (Love It, Like It, Not Today) with students enrolled in Wheat2School®. Using a sticker-dot system, consistent with established dot ticket methodologies, students provided voluntary feedback on new 100% whole wheat items, including pasta Alfredo, muffins, and dinner rolls. Across products, most responses fell in the Love It or Like It categories, with particularly high enthusiasm for whole wheat pasta Alfredo. Similar acceptance patterns were observed for muffins and dinner rolls. Participation was voluntary, yet student engagement was high, with many requesting additional servings and encouraging peers to try the items. These observations, conducted independently by food service staff as part of routine cafeteria operations, provide contextual evidence of strong acceptance.

Discussion
KNOWLEDGE, ATTITUDES, AND BEHAVIORAL OUTCOMES
The Wheat2School® program produced significant improvements in students’ knowledge of agriculture, food processing, and nutrition, with agriculture and nutrition gains retained at 12-month follow-up. These outcomes expand the evidence base of garden-based interventions, which have typically emphasized fruits and vegetables, by showing that whole grain education can also yield durable knowledge gains. Quantitative results showed robust effect sizes, while adult implementors described how hands-on engagement (I grew that, I milled it, and now I am eating it) reinforced student learning through pride and ownership. This pattern reflects core principles of Experiential Learning Theory, where cycles of concrete action and reflection—planting, harvesting, milling, and tasting—promoted durable knowledge retention.
Attitudes toward whole grains improved significantly at post-test, although these gains diminished at follow-up, consistent with prior research showing that willingness to try new foods often requires continued reinforcement. Teachers, garden volunteers, and food service staff observed that excitement during food preparation and tasting catalyzed openness, with peer influence further encouraging students to try tortillas and pizzas that tasted like home. These peer dynamics align with Social Cognitive Theory, in which modeling and reinforcement from classmates amplify openness to new foods.
Importantly, the results were consistent across different analytic methods. The McNemar’s test showed that nearly one in five students moved from not liking to liking whole grain foods after the intervention—a clear and practical indicator of behavioral openness. The GLMM extended these findings by treating attitudes as a continuous construct, accounting for repeated measures and demographic covariates. Although no demographic predictors were significant, the model confirmed a modest but statistically reliable increase in attitudes over time, with significant within-student clustering, suggesting consistent gains across individuals. Together, these findings reinforce that Wheat2School® not only increased willingness to try whole grains but also produced measurable attitudinal change, even under more rigorous modeling conditions.
These attitudinal shifts translated into observable behaviors. Teachers, food service staff, and garden volunteers consistently reported that students requested whole wheat foods in the cafeteria, asked parents to purchase flour at home, and showed curiosity in food labels distinguishing whole from refined products. Similar findings were documented in a recent school-based gardening, cooking, and nutrition program, where teachers and staff observed students proactively choosing healthier foods and influencing food decisions at home. Such reports illustrate the pathway from knowledge gains to attitudinal openness, culminating in measurable behaviors at both school and household levels. This broader adoption reflects Communities of Practice, as shared practices across classrooms, cafeterias, and families strengthened whole grain acceptance beyond the intervention setting.
Across implementor perspectives, a recurring theme was the importance of experiencing the entire cycle of wheat cultivation and preparation. Students planted, harvested, milled, cooked, and ate the products, creating an experiential full circle that reinforced both knowledge and identity. As one teacher noted, seeing the entire process really tied it together, while a food service director emphasized that from seed to flour to tortillas, they understood where their food came from. This echoes Experiential Learning Theory, which emphasizes concrete practice, reflection, and application as critical for retention. Hearing the same observations echoed across roles and districts provides strong evidence of the program’s impact.
Finally, cafeteria-based sticker-dot testing provided practice-based evidence in the authentic context of school meals. High acceptance of 100% whole wheat pasta, muffins, and bread rolls demonstrated that when familiar products are introduced in cafeterias, students respond positively. Because these observations were initiated by food service staff as part of routine meal service, they underscore feasibility and sustainability—showing how classroom learning can extend into cafeteria adoption to create lasting behavior change. Similar cafeteria-based taste-testing and feedback strategies have increased acceptance of fruits and vegetables in prior school nutrition interventions, suggesting this approach may also be effective for whole grains. When triangulated with survey findings and qualitative interviews, they further support the conclusion that Wheat2School® not only improved knowledge and attitudes but also translated into visible, real-world behavior change in the school food environment.
From a theoretical perspective, this integration across classroom, cafeteria, and home contexts resonates with Ecological Systems Theory, which emphasizes the influence of multiple interacting environments on behaviors.
CULTURAL AND DEMOGRAPHIC DIMENSIONS
The program’s cultural tailoring was central to its effectiveness. Among all participating students, the majority of whom identified as Hispanic/Latino (70.7%), reported liking of whole grain foods such as tortillas, pasta, and bread increased significantly from 43.9% at baseline to 56.9% at post-test—a notable finding given the cultural importance of tortillas and historical preference for refined flour versions. This survey finding was reinforced by cafeteria-based taste testing, where whole wheat tortillas, pizza crusts, and other familiar products received overwhelmingly positive ratings. Spanish-speaking students scored significantly higher on nutrition knowledge compared with their English-speaking peers, even after adjusting for baseline scores. These findings challenge assumptions that Hispanic/Latino students perform worse on nutrition assessments due to socioeconomic or linguistic barriers. Instead, they affirm evidence that culturally and linguistically tailored programs improve knowledge and engagement.
More recent work underscores this conclusion: culturally adapted nutrition interventions for Latino children demonstrate improved acceptance and dietary behaviors, and contemporary frameworks emphasize deep-structure cultural adaptation as a pathway to equity in public health nutrition. Qualitative data strengthened this mechanism, and adult stakeholders reported that students expressed pride when preparing culturally familiar foods, and language concordance supported engagement. Family engagement also emerged as a critical pathway of change. Students’ efforts to introduce whole grains into family meals exemplify familismo—the Hispanic/Latino cultural value of family-centeredness and highlight children’s role as cultural brokers in immigrant households. These findings are consistent with family-centered nutrition interventions among Mexican-heritage children, which demonstrate that leveraging familismo principles enhances dietary behavior change and reinforces youth roles in shaping household food practices.
IMPLEMENTATION AND SUSTAINABILITY
Adult implementors described strong motivation rooted in agricultural and food system identities, supporting survey findings of durable knowledge gains. Teachers, food service directors, and volunteers collaborated to integrate recipes and adapt cafeteria practices, with some schools adopting whole wheat tortillas, waffles, muffins, and pizza crusts beyond the program. This aligns with Collaborative Rationality and Communities of Practice frameworks, where shared ownership fosters systemic change.
An additional factor supporting program success was the facilitation of direct connections between school districts and local wheat farmers. These relationships enabled schools to procure California-grown wheat for use in cafeterias and provided students with visible links to the people producing their food. Farmer participation—whether through supplying grain or engaging with schools—reinforced authenticity, strengthened community buy-in, and was consistently cited by implementors as a driver of sustainability.
However, sustainability challenges were evident. Stakeholders cautioned that program continuation depended heavily on champions and would require broader institutional support. These concerns echo well-documented barriers in school-based nutrition interventions, where long-term continuity often falters without administrative commitment and resource allocation. Successful scaling will require embedding Wheat2School® components into standard curricula, securing ongoing funding, and training multiple staff members to reduce dependence on individual advocates.
Taken as a whole, these elements are integrated in the Wheat2School® conceptual framework, which illustrates how cultural and experiential inputs—planting, harvesting, milling, cooking, and preparing culturally familiar foods in bilingual settings—combined with program supports and community partnerships to foster student engagement and reinforce learning. This progression aligns with Social Cognitive Theory and Experiential Learning Theory, where concrete experiences and peer modeling build knowledge and self-efficacy.
Adult implementors described emotions of curiosity, joy, and pride, which translated into observable behaviors such as repeated requests for whole wheat foods, family conversations, and label reading. These findings mirror broader school garden research demonstrating that experiential, garden-based interventions enhance dietary knowledge and food acceptance.
Importantly, evidence from school-based fruit and vegetable interventions suggests that even classroom-based education alone—without a full, year-long hands-on program—can produce measurable gains in knowledge and dietary acceptance, raising the possibility that similar approaches could also be effective for whole grains. By extending this evidence to whole grains, Wheat2School® documented robust gains in agriculture (+2.80 points), food processing (+1.38 points), and nutrition (+0.59 points) knowledge, alongside short-term increases in whole grain liking (43.9% to 56.9%). Sustainability factors such as administrative support, cross-district collaboration, and cafeteria integration reflect Communities of Practice and highlight the need for institutionalization to maintain long-term impact.
STRENGTHS AND LIMITATIONS
This evaluation’s strengths include its mixed-methods design, culturally adapted intervention, longitudinal follow-up, and integration of multiple data sources (student surveys, adult interviews, cafeteria observations). Surveys were administered in English or Spanish on a student-by-student basis, with language matching the instruction and support students received in class. This individual-level, language-concordant approach—made possible by bilingual teachers and materials—ensured equitable participation for Spanish-speaking students and provides important insights into culturally and linguistically responsive programming. The 12-month follow-up, though limited to a subset of participants, offers valuable evidence of knowledge retention.
Several limitations should be noted. The sample was drawn from three schools in one state, limiting generalizability to other regions or populations. The absence of a control group precludes causal inference, though the pre-post design with longitudinal follow-up provides robust evidence of change. Attrition at follow-up (76%) may introduce bias, though baseline characteristics did not differ significantly between completers and non-completers. Social desirability bias may have influenced survey responses, particularly for attitude measures. Finally, the qualitative sample was small, though data saturation was achieved across themes.
IMPLICATIONS FOR PRACTICE AND POLICY
For policymakers, results support integrating culturally responsive, experiential nutrition curricula into school settings, with reinforcement through cafeteria adoption and family engagement. A recurring theme across all adult implementors—teachers, food service staff, and garden volunteers from different school districts—was the importance of students experiencing the full circle. Students engaged in planting, harvesting, milling, preparing, and ultimately tasting wheat-based foods, which created a sense of continuity and ownership. One teacher explained that seeing the entire process really tied it together for the kids, while a food service director noted that from seed to flour to tortillas, they understood where their food came from. A garden volunteer echoed this perspective, observing that when they got to eat what they grew and milled, it made the whole thing real for them. This complete cycle transformed abstract nutrition concepts into tangible practices and fostered pride, joy, and sustained curiosity. Embedding such comprehensive, process-oriented models into policy frameworks may enhance both educational outcomes and long-term dietary behaviors by linking classroom learning with cafeteria implementation and family adoption.
FUTURE RESEARCH DIRECTIONS
Future studies should employ randomized controlled designs with larger, more diverse samples to strengthen causal inference. Longer follow-up periods (2 years) would better assess the sustainability of knowledge and behavioral changes. Cost-effectiveness analyses are also needed to inform scaling decisions. Research should examine how different cultural adaptations (e.g., foods, languages, teaching methods) influence outcomes across diverse Hispanic/Latino subgroups and expand to other locations and demographic groups to capture culturally unique contexts. In addition, future survey development should include more nutrition knowledge items, additional attitude measures, and new behavioral questions to broaden the scope of assessed outcomes. Cafeteria-based sticker-dot taste testing, which in this study provided practice-based evidence of acceptance, could be further validated as a feasible, low-burden method for capturing real-time student preferences in school meal environments. Finally, studies should evaluate the impact of institutional factors including leadership support, staff training, and resource allocation on program sustainability and effectiveness.
Conclusion
The Wheat2School® evaluation provides compelling evidence that culturally adapted, experiential nutrition education can improve whole grain knowledge, foster positive attitudes, and catalyze behavioral change in both school and home environments. By integrating farm, classroom, cafeteria, and family contexts, the program created cultural and educational connections that amplified impact. Sustaining these effects will require continued reinforcement, yet the findings demonstrate clear pathways for bridging cultural identity with nutrition education to reduce disparities among Hispanic/Latino children. Scaling culturally grounded interventions represents a promising strategy to increase whole grain consumption and reduce long-term risks of diet-related chronic disease across diverse populations.
CLINICAL AND POLICY IMPLICATIONS
These findings challenge assumptions that Hispanic/Latino children are resistant to whole grain adoption. When whole grains are presented in culturally relevant forms such as tortillas, as well as in familiar, child-appealing foods like pizza, and reinforced through bilingual and experiential learning, acceptance is high and extends into family food practices. Policymakers and practitioners should prioritize culturally and linguistically responsive, school-based strategies that connect classroom education with cafeteria offerings to normalize whole grain consumption in daily life.
Conflicts of Interest: The authors have no conflicts of interest to declare.
Funding: This work was supported by the California Department of Food and Agriculture (CDFA), Farm to School Incubator Grant Program (Track 2: [20-1195-000-SG]) and by the U.S. Department of Agriculture, Food and Nutrition Service, Patrick Leahy Farm to School Turnkey Grant Program (Track: [Edible Garden Project], [USDA-FNS-F2S-TK-EG-FY22-CA1]).
Acknowledgments: The authors acknowledge with appreciation the contributions of committee members Dr. Sherri Stastny, Dr. Adam Marx, and Dr. Richard Horsley of North Dakota State University, for their guidance and critical insights. Their mentorship was instrumental in shaping this research. The authors also thank Allison Bright-Rose, Lauren Thomas, Gelene Coelho, Anna Mumford, Christina Wilkinson, Myra Solis, Chelsey Slattery, Isaac Lopez, and Lauren Londoño for their valuable contributions and support throughout the project.
References
- Albertson AM, Reicks M, Joshi N, Gugger CK. Whole grain consumption trends and associations with body weight measures in the United States: results from the cross sectional National Health and Nutrition Examination Survey 2001-2012. Nutr J. 2015;15(1):8. doi:10.1186/s12937-016-0126-4
- Reicks M, Jonnalagadda S, Albertson AM, Joshi N. Total dietary fiber intakes in the US population are related to whole grain consumption: Results from the National Health and Nutrition Examination Survey 2009 to 2010. Nutrition Research. 2014;34(3):226-234. doi:10.1016/j.nutres.2014.01.002
- USDA. 2015-2020 Dietary Guidelines for Americans.; 2020. https://odphp.health.gov/dietaryguidelines/2015/guidelines/.
- Lin BH, Yen ST. The U.S. Grain Consumption Landscape: Who Eats Grain, in What Form, Where, and How Much?; 2007. doi:10.22004/ag.econ.55967
- Scientific Opinion on Dietary Reference Values for carbohydrates and dietary fibre. EFSA Journal. 2010;8(3). doi:10.2903/j.efsa.2010.1462
- Carbohydrate Intake for Adults and Children: WHO Guideline. World Health Organization; 2023.
- Meynier A, Chanson-Rollé A, Riou E. Main Factors Influencing Whole Grain Consumption in Children and Adults A Narrative Review. Nutrients. 2020;12(8). doi:10.3390/nu12082217
- CDC. SEARCH for Diabetes in Youth. https://www.searchfordiabetes.org/dspHome.cfm.
- Skinner AC, Ravanbakht SN, Skelton JA, Perrin EM, Armstrong SC. Prevalence of Obesity and Severe Obesity in US Children, 1999-2016. Pediatrics. 2018;141(3). doi:10.1542/peds.2017-3459
- Ogden CL, Fryar CD, Martin CB, et al. Trends in Obesity Prevalence by Race and Hispanic Origin 1999-2000 to 2017-2018. JAMA. 2020;324(12):1208. doi:10.1001/jama.2020.14590
- Mayer-Davis EJ, Lawrence JM, Dabelea D, et al. Incidence Trends of Type 1 and Type 2 Diabetes among Youths, 2002-2012. New England Journal of Medicine. 2017;376(15):1419-1429. doi:10.1056/NEJMoa1610187
- Mattei J, Sotres-Alvarez D, Daviglus ML, et al. Diet Quality and Its Association with Cardiometabolic Risk Factors Vary by Hispanic and Latino Ethnic Background in the Hispanic Community Health Study/Study of Latinos. J Nutr. 2016;146(10):2035-2044. doi:10.3945/jn.116.231209
- Siega-Riz AM, Sotres-Alvarez D, Ayala GX, et al. Food-group and nutrient-density intakes by Hispanic and Latino backgrounds in the Hispanic Community Health Study/Study of Latinos. Am J Clin Nutr. 2014;99(6):1487-1498. doi:10.3945/ajcn.113.082685
- English LK, Raghavan R, Obbagy JE, et al. Dietary Patterns and Health: Insights From NESR Systematic Reviews to Inform the Dietary Guidelines for Americans. J Nutr Educ Behav. 2024;56(1):75-87. doi:10.1016/j.jneb.2023.10.001
- Scientific Report of the 2025 Dietary Guidelines Advisory Committee: Advisory Report to the Secretary of Health and Human Services and Secretary of Agriculture.; 2024. doi:10.52570/DGAC2025
- Mattei J, Caballero-González A, Maafs-Rodríguez A, Zhang A, O Neill HJ, Gago C. Lessons learned by adapting and implementing LUCHA: a deep-structure culturally tailored healthy eating randomized pilot intervention for ethnic-diverse Latinos. Front Public Health. 2024;11. doi:10.3389/fpubh.2023.1269390
- Bellows LL, Conlon T, Cunningham-Sabo L, Johnson SL. Opportunities in the Classroom or Cafeteria for a Tasting Challenge to Influence First Grade Students Willingness to Try New Foods. Journal of Child Nutrition & Management. 2015;39(2). Accessed January 8, 2025. https://schoolnutrition.org/journal/fall-2015-opportunities-in-the-classroom-or-cafeteria-for-a-tasting-challenge-to-influence-first-grade-students-willingness-to-try-new-foods/
- Leake L, McClam M, Howell A, Schreiber K. Impacts of farm to school on children’s perception of food. Food, Nutrition and Health. 2025;2(1):10. doi:10.1007/s44403-025-00020-5